عام

760 مقالة

من كل عشرة أشخاص يلقونني، تسعة ينادونني "يا شيخ"، وهذا متكرر يوميا

من كل عشرة أشخاص يلقونني، تسعة ينادونني "يا شيخ"، وهذا متكرر يوميا. الآن أنا خلاص أخذتني العزة بالإثم وسأقيم الدين في الضفة الغربية من جديد، بل سأقيم الدين في مالطا كما يقولون. صحيح أن لحيتي طولها نصف...

اقرأ المزيد ←
حينما يصبح عمري 25 عاما يبدو أنني سأكون قد طوَّرت 10 دسكات في الظهر، و5 ديسكات ف...

حينما يصبح عمري 25 عاما يبدو أنني سأكون قد طوَّرت 10 دسكات في الظهر، و5 ديسكات ف...

حينما يصبح عمري 25 عاما يبدو أنني سأكون قد طوَّرت 10 دسكات في الظهر، و5 ديسكات في الرقبة، وغباش وحَوَل وضعف في النظر، ورجَّات في اليدين...يعني عند 30 سنة نكون قد ارتحلنا من هذه الدنيا بإذن الله

اقرأ المزيد ←
《وبما أن المرأة خاضعة في سلوكها للرأي العام فإنها خاضعة في معتقدها للسلطان، ‏ويج...

《وبما أن المرأة خاضعة في سلوكها للرأي العام فإنها خاضعة في معتقدها للسلطان، ‏ويج...

《وبما أن المرأة خاضعة في سلوكها للرأي العام فإنها خاضعة في معتقدها للسلطان، ‏ويجب أن تكون كل بنت على دين أمها، ويجب أن تكون كل امرأة على دين زوجها، ‏وإذا كان هذا الدين على خطأ فإن الطاعة التي تخضع بها...

اقرأ المزيد ←

إلزام الجامعات الطلبة بالحضور، وجعل جزء من العلامات مترتبا عليه، لَهو أسخف سياسة...

إلزام الجامعات الطلبة بالحضور، وجعل جزء من العلامات مترتبا عليه، لَهو أسخف سياسة من الممكن لمؤسسة أن تتبعها. وذلك يستلزم أن يستطيع المحاضر تقديم ما لا يستطيعه الطلبة وحدهم، ولكن العكس تماما هو ما يَمْ...

اقرأ المزيد ←
الفِند الزِّمّاني بألف رجل

قال: أرسلت بنو شيبان في محاربتهم بني تغلب إلى بني حن...

الفِند الزِّمّاني بألف رجل قال: أرسلت بنو شيبان في محاربتهم بني تغلب إلى بني حن...

الفِند الزِّمّاني بألف رجل قال: أرسلت بنو شيبان في محاربتهم بني تغلب إلى بني حنيفة يستنجدونهم، فوجهوا إليهم بالفند الزماني في سبعين رجلاً، وأرسلوا إليهم إنا قد بعثنا إليكم ألف رجل.

اقرأ المزيد ←

إذا أعجبني نصٌّ حفظته، صفحةً كاملةً كان أو فصلا أو جزءًا من كتاب، وقد كنتُ -أيام...

إذا أعجبني نصٌّ حفظته، صفحةً كاملةً كان أو فصلا أو جزءًا من كتاب، وقد كنتُ -أيامي الأُوَل في الجامعة- أقرأ على الرفاق صفحات كاملة من بعض الكتب إذا ما احتجت اقتباسا منها أو أردت الاستشهاد ببعض فحاويها....

اقرأ المزيد ←

اللي يقلك إسرائيل مستَنزفة يكذب عليك ويبيعك الوهم

اللي يقلك إسرائيل مستَنزفة يكذب عليك ويبيعك الوهم...ها هي تمسك بالجبهات من كل الجهات، الضفة الغربية مطوَّقة أمنيا ومسحوقة عسكريا والمقاوَمة فيها تكاد تُمحَى ويُقضى عليها تماما، غزة تتهاوى ومع كل يوم ي...

اقرأ المزيد ←
الحقُّ أن هذي الدراسة -التي أُلِّفَت بدايةً كرسالة ماجستير- من أنضج ما وقعتُ علي...

الحقُّ أن هذي الدراسة -التي أُلِّفَت بدايةً كرسالة ماجستير- من أنضج ما وقعتُ علي...

الحقُّ أن هذي الدراسة -التي أُلِّفَت بدايةً كرسالة ماجستير- من أنضج ما وقعتُ عليه مؤخرا في هذا الباب إلا أنها لم تحقق المطلوب بعدُ. وفي حين نجد دراسات أخرى كتلك الخاصة بعفاف الغمري وسعود العريفي ضحلة ...

اقرأ المزيد ←

كثير من الناس يقضي جُلَّ وقته في التعرُّض للمشتتات الذهنية والسوالب الفكرية ثم ي...

كثير من الناس يقضي جُلَّ وقته في التعرُّض للمشتتات الذهنية والسوالب الفكرية ثم يتذمر متسائلا لماذا لا تأتيه أفكار إبداعية أو رؤى خلَّاقة؟ ومن جملة هذه المؤثرات: الإنترنت عموما، والإكثار الإدمانيّ لقر...

اقرأ المزيد ←
《عندما يجري الحديث في موضوع قد قيل فيه الكثير، يتصور العديد من الناس أن هذه ثرثر...

《عندما يجري الحديث في موضوع قد قيل فيه الكثير، يتصور العديد من الناس أن هذه ثرثر...

《عندما يجري الحديث في موضوع قد قيل فيه الكثير، يتصور العديد من الناس أن هذه ثرثرة لا فائدة منها، ويغفلون أن كثرة الحديث في موضوع ما، قد تكون حجابا عن الحقائق فيه، فكل واحد أدلى بدلوه، من زاوية نظره، ب...

اقرأ المزيد ←
شغل الMicro SaaS عظمة يا قوم، هذا الرجل صنع 70$ ألف بشغل ستة أيام فحسب إذ طوّر موقعا لفك ضغط ملفات

شغل الMicro SaaS عظمة يا قوم، هذا الرجل صنع 70$ ألف بشغل ستة أيام فحسب إذ طوّر موقعا لفك ضغط ملفات

شغل الMicro SaaS عظمة يا قوم، هذا الرجل صنع 70$ ألف بشغل ستة أيام فحسب إذ طوّر موقعا لفك ضغط ملفات .zip التي فيها ملفات json، والدفع مرة واحدة ب5$ الآن الطريف أن الرجل كتب الموقع كواجهة أمامية fronte...

اقرأ المزيد ←
ما بالُ عَينٍ شَوقُها استَبكاها |||| في رَمسِ دارٍ لَبِسَت بِلاها
طامِسَةِ الأعل...

ما بالُ عَينٍ شَوقُها استَبكاها |||| في رَمسِ دارٍ لَبِسَت بِلاها طامِسَةِ الأعل...

ما بالُ عَينٍ شَوقُها استَبكاها |||| في رَمسِ دارٍ لَبِسَت بِلاها طامِسَةِ الأعلامِ قَد مَحاها |||| تَقادُم مِن عَهدِها أَبلاها وَعاصِف يَتبَعُها ذَيلاها |||| تَستَنُّ بِالجَولانِ مِن حَصاها وَكُلُّ ر...

اقرأ المزيد ←

أول كتابين في أورغانون أرسطو ليسا من المنطق في شيء، ولا وزن للذكر القليل لبعض ال...

أول كتابين في أورغانون أرسطو ليسا من المنطق في شيء، ولا وزن للذكر القليل لبعض المفاهيم والمبادئ المنطقية فيهما. فكتاب الكاطيغوريا تصنيفٌ مفصَّل لأنواع التغيير، وكتاب العبارة نظريةٌ لقواعد اللغة الإغري...

اقرأ المزيد ←
كتاب الزوهار هو المرجعية الأهم في التقليد الصوفي اليهودي، عند الكابالاه تحديدا...

كتاب الزوهار هو المرجعية الأهم في التقليد الصوفي اليهودي، عند الكابالاه تحديدا...

كتاب الزوهار هو المرجعية الأهم في التقليد الصوفي اليهودي، عند الكابالاه تحديدا "الكل واحد، والواحد هو الكل. القدوس المبارك يملأ كل العوالم، ولا يوجد مكان خالٍ منه" ~ (الزوهار، المجلد الثالث، 225a). ...

اقرأ المزيد ←

سيطرة المنطق الأرسطي على التاريخ لأكثر من ألف سنة ليس مذمة لأرسطو في ذاته، بل جر...

سيطرة المنطق الأرسطي على التاريخ لأكثر من ألف سنة ليس مذمة لأرسطو في ذاته، بل جريمة في رقاب التيوس ذوي الذكاء المنخفض والخيال البئيس الذين اتبعوه في كل مقراراته التي منها جميلٌ كثير، فأرسطو -في عصره- ...

اقرأ المزيد ←
أحد طلبة الجامعات عندنا "ألَّف" [كتابًا] من 15 صفحة على الشاكلة التي في الصورة،...

أحد طلبة الجامعات عندنا "ألَّف" [كتابًا] من 15 صفحة على الشاكلة التي في الصورة،...

أحد طلبة الجامعات عندنا "ألَّف" [كتابًا] من 15 صفحة على الشاكلة التي في الصورة، فطارت به المواقع فرحا وانهالت عليه التهاني والتبريكات حتى أنه وضع في سيرته أنه "كاتب أدبي ومؤلف" وتغنَّى به محيط الجامعة...

اقرأ المزيد ←

إتحاف الشوبنهوريين بجلد وطحن الهيجليين: تجميعة لقذائف شوبنهاور المطلقة على هيجل 1

إتحاف الشوبنهوريين بجلد وطحن الهيجليين: تجميعة لقذائف شوبنهاور المطلقة على هيجل 1. "لقد نُصِّبَ هيجل من أعلى على أيدي أصحاب السلطة كالفيلسوف الأعظم، غير أنه ليس سوى دجال بليد ومسطح التفكير ومثير للاش...

اقرأ المزيد ←
قال بل غيتس عن كتاب "فن برمجة الحاسوب" لدونالد كنوث:

"إذا استطعت قراءة هذا الكت...

قال بل غيتس عن كتاب "فن برمجة الحاسوب" لدونالد كنوث: "إذا استطعت قراءة هذا الكت...

قال بل غيتس عن كتاب "فن برمجة الحاسوب" لدونالد كنوث: "إذا استطعت قراءة هذا الكتاب كاملا فعليك أن ترسل لي سيرتك الذاتية CV لتوظيفك" أغلب قرّاء الكتاب يستخدمونه مرجعًا ووسيلةً لتعميق الفهم والاستزادة ...

اقرأ المزيد ←

للإجابة عن الأسئلة المتكررة بخصوص موقع مبيانات الحديث (1) هل تعلمون أن تنفيذ نظ...

للإجابة عن الأسئلة المتكررة بخصوص موقع مبيانات الحديث (1) هل تعلمون أن تنفيذ نظرية المبيان Graph Theory على علم الحديث يوفِّر بيئة تماثل في خصوبتها بعض المسائل الحاسوبية أو الرياضية؟ وأن علم الحديث ب...

اقرأ المزيد ←
استطاع الموساد -في القرن المنصرم- تسريب خطاب زعيم الاتحاد السوفييتي نيكيتا خروتش...

استطاع الموساد -في القرن المنصرم- تسريب خطاب زعيم الاتحاد السوفييتي نيكيتا خروتش...

استطاع الموساد -في القرن المنصرم- تسريب خطاب زعيم الاتحاد السوفييتي نيكيتا خروتشوف المعروف ب"خطاب خروتشوف السري" أو بعنوان "حول عبادة الشخصية وعواقبها" وقد ألقاه خروتشوف في اجتماع مغلق وشديد السرية ل...

اقرأ المزيد ←

واحدة من ركائز قوة إسرائيل التجسسية والتكنولوجية تتمثل في العدد الضخم من علماء ا...

واحدة من ركائز قوة إسرائيل التجسسية والتكنولوجية تتمثل في العدد الضخم من علماء التشفير Cryptography لديها، وليست قضية عدد فحسب، بل إنها تمتلك صفًّا من أهم علماء التشفير في العالم بدءا من آدي شامير أحد...

اقرأ المزيد ←
أنهيت النسخة المبدئية من شبكات الحديث وتخطيطه عبر مبيانات

الموجود 40 ألف راوية...

أنهيت النسخة المبدئية من شبكات الحديث وتخطيطه عبر مبيانات الموجود 40 ألف راوية...

أنهيت النسخة المبدئية من شبكات الحديث وتخطيطه عبر مبيانات الموجود 40 ألف راوية تقريبا و60 ألف حديث كل عقدة صفراء تمثّل حديثا وكل عقدة بُنية تمثّل راوية...وكله متصل tarajem.org

اقرأ المزيد ←
وحدة 8200 الاستخباراتية هي دماغ الموساد والعقل المدبر وراء الاغتيالات الضخمة

وحدة 8200 الاستخباراتية هي دماغ الموساد والعقل المدبر وراء الاغتيالات الضخمة

وحدة 8200 الاستخباراتية هي دماغ الموساد والعقل المدبر وراء الاغتيالات الضخمة...خلال أسابيع قليلة استطاعوا اختراق ح..ز..ب الله اختراقا عميقا وهَتَكوه من الداخل...وحينما حصلوا على ما يكفي من المعلومات ب...

اقرأ المزيد ←

هل العمل على عدة مشاريع -أيا تكون- بالتزامن، أمر مجدٍ

هل العمل على عدة مشاريع -أيا تكون- بالتزامن، أمر مجدٍ؟ على عكس أسلوبي في القراءة إذ أخصص أجزاء متصلة من كل سنة للقراءة في موضوعات قريبة من بعضها، فيكون -على سبيل المثال- نصف كامل من السنة للدراسة في ...

اقرأ المزيد ←

🔥أبشروا يا شباب بتحفة فنية للمشتغلين بعلم الحديث، استطعت إنشاء مبيانات Graphs م...

🔥أبشروا يا شباب بتحفة فنية للمشتغلين بعلم الحديث، استطعت إنشاء مبيانات Graphs موسعة كشبكات معقدة قابلة للبحث لأكثر من 40 ألف راوية وعشرات ألوف الأحاديث كله متصل ببعضه على شاكلة ستدهشكم...الليلة بعون ...

اقرأ المزيد ←
كتاب شديد الأهمية، يضعك على مفترقات طرق تطور الرياضيات، ويسلِّمك أعناق ورقاب حقولها وتفرعاتها

كتاب شديد الأهمية، يضعك على مفترقات طرق تطور الرياضيات، ويسلِّمك أعناق ورقاب حقولها وتفرعاتها

كتاب شديد الأهمية، يضعك على مفترقات طرق تطور الرياضيات، ويسلِّمك أعناق ورقاب حقولها وتفرعاتها...ونقول مرة بعد مرة: تواريخُ العلوم مفتاحُ الإبداع فيها

اقرأ المزيد ←
بسم الله الرحمن الرحيم | أطلقت النسخة الأولى من مشروع شبكة تراجم المعقدة وهو مشر...

بسم الله الرحمن الرحيم | أطلقت النسخة الأولى من مشروع شبكة تراجم المعقدة وهو مشر...

بسم الله الرحمن الرحيم | أطلقت النسخة الأولى من مشروع شبكة تراجم المعقدة وهو مشروع يهدف إلى تمثيل مرئي وبياني معمَّق ومُسهَب للمؤلفات القديمة كما قال نابليون: يجب أن تكون بطيئا عند التفكير وسريعا حين...

اقرأ المزيد ←

مستعد أن أبدأ العمل على هذا المشروع الجَلَل قبل أن يأتي صباح الغد إلا أن المعضلة...

مستعد أن أبدأ العمل على هذا المشروع الجَلَل قبل أن يأتي صباح الغد إلا أن المعضلة متمثلة في أن السواد الأعظم من الكتب العربية غير متوفرة بحيث تكون نصوصها قابلة للنسخ فهي تحتاج أن يُنفَّذ عليها OCR، وهذ...

اقرأ المزيد ←
الآن أنت تدرس كتب الأقدمين، وقد وقعت على ذكر لأحدهم، تصورْ رعاك الله أن تفتح الح...

الآن أنت تدرس كتب الأقدمين، وقد وقعت على ذكر لأحدهم، تصورْ رعاك الله أن تفتح الح...

الآن أنت تدرس كتب الأقدمين، وقد وقعت على ذكر لأحدهم، تصورْ رعاك الله أن تفتح الحاسوب وبضغطة زر تضع فيها اسم مَن وقعت عليه، فتظهر أمامك شبكة معقدة Complex Network وقد ترابَطَ فيها جميع مواضع ذكر الرجل ...

اقرأ المزيد ←
قضيت سنتي 2018 و2019 دون أي اتصال بالإنترنت ودون استخدام أي هواتف ذكية

قضيت سنتي 2018 و2019 دون أي اتصال بالإنترنت ودون استخدام أي هواتف ذكية

قضيت سنتي 2018 و2019 دون أي اتصال بالإنترنت ودون استخدام أي هواتف ذكية. وقد قطعت إذ ذاك كل تواصلي الاجتماعي فلم أكن ألقى رفيقا ولم يكن لي نديم ولا زلت أذكر اجتماعي بكل أصدقائي قبل بدء سنة 2018 وإخباره...

اقرأ المزيد ←

قلتُ من المتدارك: كَمْ مِنْ أَقْوَامٍ خَلَتْ وَاسْتَطَابَتْ مَا قَدْ أَتَتْ ف...

قلتُ من المتدارك: كَمْ مِنْ أَقْوَامٍ خَلَتْ وَاسْتَطَابَتْ مَا قَدْ أَتَتْ فإِلَى حَتْفٍ وَمَنُوْنٍ قَدْ سِيْقَتْ ثُمَّ اخْتَفَتْ كَمْ مِنْ مَوْتٍ عَاصَرَتْ وَتَأَسَّتْ فَمَا اسْتَبْصَرَتْ ا...

اقرأ المزيد ←

فيزيائيو القرن العشرين اتسموا بفلسفة مثالية تشبه الصرعة

فيزيائيو القرن العشرين اتسموا بفلسفة مثالية تشبه الصرعة! يقول السير وليام جينز: 《تيار المعرفة يتحرك نحو واقع غير ميكانيكي؛ الكون تراءى كفكرة عظيمة بدلا من آلة عظيمة. العقل لم يعد دخيلا صدفيا على عال...

اقرأ المزيد ←
قال امرؤ القيس: الحَرْبُ أَوَّلُ ما تكونُ فَتِيَّةً |||| تَسْعَى بِزِيْنَتِها لك...

قال امرؤ القيس: الحَرْبُ أَوَّلُ ما تكونُ فَتِيَّةً |||| تَسْعَى بِزِيْنَتِها لك...

قال امرؤ القيس: الحَرْبُ أَوَّلُ ما تكونُ فَتِيَّةً |||| تَسْعَى بِزِيْنَتِها لكلِّ جَهُولِ أما تميم فلا زال جهولا بالرغم من مرور سنة على الحرب ولا زال متزينا بالحرب التي يتخيلها في ذهنه قبل الحرب: ...

اقرأ المزيد ←
يا شباب، هذه صياغة رياضية هيِّنة تفحص الشعر العربي القوِيم

يا شباب، هذه صياغة رياضية هيِّنة تفحص الشعر العربي القوِيم

يا شباب، هذه صياغة رياضية هيِّنة تفحص الشعر العربي القوِيم. والآن إذا ما وضعنا تقيؤات محمود درويش اللغوية أو استفراغات أدونيس فسيكون ناتج المعادلة قبيحا. استعملوا هذه الصياغة في تقريع مدَّعي الشعر

اقرأ المزيد ←

التقى كارت غنديروث -وهو أحد المؤلفين الكبار في ال++C- مخترعَ اللغة بيارن ستروستر...

التقى كارت غنديروث -وهو أحد المؤلفين الكبار في ال++C- مخترعَ اللغة بيارن ستروسترب في إحدى المؤتمرات فسأله: كيف تقيم معرفتك في ++C؟ ليرد عليه ستروسترب بجواب صادم: "7 من 10". عندنا المبرمج العربي يعرف...

اقرأ المزيد ←
نصيحة برمجية

تعلَّمْ هاسكل، رياضيًّا كنت أو تحسيبيا، تعلمها جيدا

نصيحة برمجية تعلَّمْ هاسكل، رياضيًّا كنت أو تحسيبيا، تعلمها جيدا

نصيحة برمجية تعلَّمْ هاسكل، رياضيًّا كنت أو تحسيبيا، تعلمها جيدا. ونخص بالذكر الرياضي البحتْ الذي يضيع عمره في دراسة بايثون في حين أن اللغة الأكثر نقاء والأنظف على الإطلاق، هاسكل، موجودة! هاسكل لغة ا...

اقرأ المزيد ←
يا للعجب! أيُّ أوصاف بديعة يهب اللهُ الرياضياتيين قولَها!

الرياضياتي الخارق جون...

يا للعجب! أيُّ أوصاف بديعة يهب اللهُ الرياضياتيين قولَها! الرياضياتي الخارق جون...

يا للعجب! أيُّ أوصاف بديعة يهب اللهُ الرياضياتيين قولَها! الرياضياتي الخارق جون فون نويمان يقول بشاعرية: "عبر أربعة مَعْلَمَات Parameters يمكنني أن أصنع فيلا، وعبر خمسة أستطيع أن أجعل خرطومه يتحرك" ...

اقرأ المزيد ←
سيدخل اليوم الثالث من غير نوم وقد شلَّني الأرق إذ لا أستطيع النوم رغما عني

سيدخل اليوم الثالث من غير نوم وقد شلَّني الأرق إذ لا أستطيع النوم رغما عني

سيدخل اليوم الثالث من غير نوم وقد شلَّني الأرق إذ لا أستطيع النوم رغما عني...وكأني بالمرء تحضره همومه قاطبةً إذ ذاك وتعصف به المآسي الثقال وتفت في عضده الأحزان. وكما قال أبو العلاء: غدوت أسيرا في الز...

اقرأ المزيد ←

أجدى نصيحة يمكن أن تُقدم في هذا الصدد أن تبدأ من حيث ينتهي البعض أي أن تباشر درا...

أجدى نصيحة يمكن أن تُقدم في هذا الصدد أن تبدأ من حيث ينتهي البعض أي أن تباشر دراسة علم التحسيب النظري Theoretical computer science من فورك بدلا من المخطط المعهود الذي يبدأ مع أمور تطبيقية ومناحي عملية...

اقرأ المزيد ←
الحقّ أن LaTeX اختراع جبار وأعده واحدا من أهم المنجزات الحاسوبية التي بزغت في الثمانينات

الحقّ أن LaTeX اختراع جبار وأعده واحدا من أهم المنجزات الحاسوبية التي بزغت في الثمانينات

الحقّ أن LaTeX اختراع جبار وأعده واحدا من أهم المنجزات الحاسوبية التي بزغت في الثمانينات. فمن غيره ما كان المرء ليرى أي كتاب مطبوع طباعة حديثة، بالأخص في الأكاديميا. وبالرغم من أن الاشتغال عليه ماتع ...

اقرأ المزيد ←
اقتربت بحمد الله أشد الاقتراب من إنهاء تدبيج كتابي الأول: تقصيّات تحليلية لأعمال...

اقتربت بحمد الله أشد الاقتراب من إنهاء تدبيج كتابي الأول: تقصيّات تحليلية لأعمال...

اقتربت بحمد الله أشد الاقتراب من إنهاء تدبيج كتابي الأول: تقصيّات تحليلية لأعمال برنارد بولتزانو المنطقية. إذ ربت الصفحات المنتهى منها عن 250 صفحة، وذا فهرسه أمامكم. وهذه أول معالجة عربية للعملاق بولت...

اقرأ المزيد ←
عبر أمازون تُطرَح الأشياء للبيع والشراء وعبر الفيسبوك ينشر الناس وقد يلقى بعضهم...

عبر أمازون تُطرَح الأشياء للبيع والشراء وعبر الفيسبوك ينشر الناس وقد يلقى بعضهم...

عبر أمازون تُطرَح الأشياء للبيع والشراء وعبر الفيسبوك ينشر الناس وقد يلقى بعضهم في عرضه المساس وعبر تويتر يغرد الأدعياء بمقالات الأغبياء أما بطل الحفلة هذه الليلة فهو موقع لينكدن LinkedIn المغمور بأهل...

اقرأ المزيد ←
أجهزة ح.ز.ب الله التي فُجِّرَت عبارة عن صنف من الأجهزة اللاسلكية تندرج تحت الPag...

أجهزة ح.ز.ب الله التي فُجِّرَت عبارة عن صنف من الأجهزة اللاسلكية تندرج تحت الPag...

أجهزة ح.ز.ب الله التي فُجِّرَت عبارة عن صنف من الأجهزة اللاسلكية تندرج تحت الPagers وهذه أجهزة تُستَخدم للتواصل الخفيف مثل إرسال واستقبال رسائل قصيرة. وتشتغل هذه البيجرز عبر استخدام تردادت راديو خفيفة...

اقرأ المزيد ←
《ووُلِد ديكارتُنا لاكتشاف أغاليط القرون القديمة، ولكن ليستبدل بها أغاليطه، وذلك...

《ووُلِد ديكارتُنا لاكتشاف أغاليط القرون القديمة، ولكن ليستبدل بها أغاليطه، وذلك...

《ووُلِد ديكارتُنا لاكتشاف أغاليط القرون القديمة، ولكن ليستبدل بها أغاليطه، وذلك أنه، إذْ سار وهذا المنهاج الذي يعمي أعاظم الناس، خُيِّل إليه أنه أثبت أن النفس عينُ الفكر، كما أنه يرى أن المادة هي عينُ...

اقرأ المزيد ←
الصورة غير عادية وما فيها ليس بعادي فحتى المكتب الذي كان يجلس وراءه جِفْ بيزوس ص...

الصورة غير عادية وما فيها ليس بعادي فحتى المكتب الذي كان يجلس وراءه جِفْ بيزوس ص...

الصورة غير عادية وما فيها ليس بعادي فحتى المكتب الذي كان يجلس وراءه جِفْ بيزوس صنعه من أبواب قديمة بالية كان يشتريها بأثمان بخيسة والشيء المعجزة في قصة بيزوس أنه فعل كل شيء من كتابة خطة العمل وبرمجة ...

اقرأ المزيد ←
قد أبدع موريس لبلان حينما صنع سلسلة في رواياته للقاء أرسين لوبين بشيرلوك هولمز
《...

قد أبدع موريس لبلان حينما صنع سلسلة في رواياته للقاء أرسين لوبين بشيرلوك هولمز 《...

قد أبدع موريس لبلان حينما صنع سلسلة في رواياته للقاء أرسين لوبين بشيرلوك هولمز 《أستاذي العزيز: أنت تعرف مدى إعجابي واهتمامي بك ولهذا أرجوك ألا تقبل المهمة التي يلتمسون مساعدتك فيها، ذلك لأن تدخلك سيتس...

اقرأ المزيد ←

إذا أردت أن تقول كلاما تافها عديم المغزى بئيس المعنى وتريد مع ذلك أن يحترمك الحض...

إذا أردت أن تقول كلاما تافها عديم المغزى بئيس المعنى وتريد مع ذلك أن يحترمك الحضور فاسبق قولك "وهذا رأيي الشخصي" وألحقه "وهذه وجهة نظري". مبارك إذ ذاك لن يستهجن أحد ممن يسمعك كلامَك وإن كان بائسا بئيس...

اقرأ المزيد ←

لم تكن علاقة جان جاك روسو بفولتير طيبةً وقد اتسمت بعداء صريح متبادل ففي كتابه "أ...

لم تكن علاقة جان جاك روسو بفولتير طيبةً وقد اتسمت بعداء صريح متبادل ففي كتابه "أصل التفاوت بين الناس" وصف روسو الإنسان البدائي في مملكة الطبيعة بأنه أعلى قدرا من الإنسان المتحضر ولم يصدق فولتير أن يتل...

اقرأ المزيد ←

الفرضية التي لا يمكن إقامة الدليل عليها وفي ذات الآن لم تُدحَض إلى يومنا: أطروح...

الفرضية التي لا يمكن إقامة الدليل عليها وفي ذات الآن لم تُدحَض إلى يومنا: أطروحة تورنغ - تشيرش Church-Turing thesis في علم التحسيب النظري والرياضيات ومؤدياتها الفلسفية والعملية تؤسس أطروحة تورنغ - ت...

اقرأ المزيد ←

ما ألمَّ بي مُدلهمّ ولا استحكمت علي الخطوب إلا وعجَّلتُ من فوري لكتاب أقرؤه أو م...

ما ألمَّ بي مُدلهمّ ولا استحكمت علي الخطوب إلا وعجَّلتُ من فوري لكتاب أقرؤه أو مشي أتفكر فيه وأمعن النظر ولولا هذان عليّ لهلكت منذ زمن بعيد ولولا أنْ ادلهمت علي أمور ما قرأت ولا تفكرت فذا من الوقود ال...

اقرأ المزيد ←
《أنت تعلم يا رايمنود أن جون فون نويمان يستطيع أن يجري الحسابات في رأسه بعشرة أضع...

《أنت تعلم يا رايمنود أن جون فون نويمان يستطيع أن يجري الحسابات في رأسه بعشرة أضع...

《أنت تعلم يا رايمنود أن جون فون نويمان يستطيع أن يجري الحسابات في رأسه بعشرة أضعاف السرعة التي أستطيعها، وأنا أجريها بعشرة أضعاف السرعة التي تستطيعها أنت، فبوسعك أن ترى كم هو مذهلٌ ذلك الرجل》 ~ إنريك...

اقرأ المزيد ←

《ولقي رجل آخر فقال له: إن الشعراء ثلاثة شاعر وشويعر وماصّ بظر أمّه فأيهم أنت

《ولقي رجل آخر فقال له: إن الشعراء ثلاثة شاعر وشويعر وماصّ بظر أمّه فأيهم أنت؟! قال: أما أنا فشويعر واختصم أنت وامرأ القيس في الباقي!》 ~ العمدة في محاسن الشعر وآدابه ونقده، أبو علي الحسن بن رشيق القير...

اقرأ المزيد ←
تصوروا نموذج ذكاء اصطناعي توليدي مُدرَّب على التراث العربي القديم بدءًا من الجاه...

تصوروا نموذج ذكاء اصطناعي توليدي مُدرَّب على التراث العربي القديم بدءًا من الجاه...

تصوروا نموذج ذكاء اصطناعي توليدي مُدرَّب على التراث العربي القديم بدءًا من الجاهلية وأشعارها ومرورا بأمهات الكتب، وتجري تعبئته بعلوم اللغة المختلفة من نحو وصرف وبلاغة وغيرها، تصوروا النتائج الشديدة ال...

اقرأ المزيد ←
إجادتك للغة برمجة أو عدة لغات ومعرفتك لتفاصيلها وخصائصها الدقيقة شيء، وتوظيفك له...

إجادتك للغة برمجة أو عدة لغات ومعرفتك لتفاصيلها وخصائصها الدقيقة شيء، وتوظيفك له...

إجادتك للغة برمجة أو عدة لغات ومعرفتك لتفاصيلها وخصائصها الدقيقة شيء، وتوظيفك لها في مشروع كبير تعمل عليه وحدك شيء مختلف تمام الاختلاف. فمثلا، أشتغل حاليا على تطبيق وقد زاد عدد الأسطر التي كتبتها عن ا...

اقرأ المزيد ←
اللغة العربية تحتاج مجهودات جبارة تحسيبيًّا، وإن تقدم التحسيب المتعلق بها يعني ك...

اللغة العربية تحتاج مجهودات جبارة تحسيبيًّا، وإن تقدم التحسيب المتعلق بها يعني ك...

اللغة العربية تحتاج مجهودات جبارة تحسيبيًّا، وإن تقدم التحسيب المتعلق بها يعني كشفا أعمق لمكنوناتها وتميزها، وفي هذا الصدد فإن الكتاب الذي بين أيديكم أقلُّ ما يمكن أن يُقال عنه أنه تحفة فنية ومصدر ثري...

اقرأ المزيد ←
لمَّا أنشأ إيلون ماسك شركته Zip2 مع أخيه، كتب الجهة الخلفية للموقع Backend عبر ل...

لمَّا أنشأ إيلون ماسك شركته Zip2 مع أخيه، كتب الجهة الخلفية للموقع Backend عبر ل...

لمَّا أنشأ إيلون ماسك شركته Zip2 مع أخيه، كتب الجهة الخلفية للموقع Backend عبر لغة البرمجة C ولمَّا بِيعَت الشركة قام مطوروها الجدد بإعادة كتابة الكود كليًّا لأن ماسك كان مبرمجا سيئا جدا، واستطاعوا ك...

اقرأ المزيد ←
طرحت أكاديمية العلوم في درونتهايم Drontheim سؤالا لمسابقة فلسفية وكان السؤال: "ه...

طرحت أكاديمية العلوم في درونتهايم Drontheim سؤالا لمسابقة فلسفية وكان السؤال: "ه...

طرحت أكاديمية العلوم في درونتهايم Drontheim سؤالا لمسابقة فلسفية وكان السؤال: "هل يمكن البرهنة على حرية الإرادة الإنسانية عبرَ الوعي؟" فكتب شوبنهاور رسالته "حول حرية الإرادة لدى الإنسان" تُوِّجَ شوبنه...

اقرأ المزيد ←
صاحب التعليق قرر أن يتحدث عن خمسة ملايين فلسطيني بكل هذه الثقة الخرقاء، ولستُ أد...

صاحب التعليق قرر أن يتحدث عن خمسة ملايين فلسطيني بكل هذه الثقة الخرقاء، ولستُ أد...

صاحب التعليق قرر أن يتحدث عن خمسة ملايين فلسطيني بكل هذه الثقة الخرقاء، ولستُ أدري أهو في تعليقه هذا عالم اجتماع أم عالم إحصاء أم خبير بالغيوب؟ هذا النوع من الأشخاص يعتمد أسلوبا قبيحا جدا، وهو أن يتح...

اقرأ المزيد ←

في إحدى المجالس -قديما- وأثناء محاولات الحضور لإقناعي بالبقاء في تخصص طب الأسنان...

في إحدى المجالس -قديما- وأثناء محاولات الحضور لإقناعي بالبقاء في تخصص طب الأسنان بدل التحول لعلم الحاسوب، قال أحدهم: "حاسوب؟ ولكن الناس اليوم كلها تستخدم الهواتف الذكية!" وكلما جادلني أحدهم بغباوة تذ...

اقرأ المزيد ←

ها قد أعادني العُصاب (مؤقتا وللنشر بصورة أقل بكثير) أتابع من تل بعيد بعض السخا...

ها قد أعادني العُصاب (مؤقتا وللنشر بصورة أقل بكثير) أتابع من تل بعيد بعض السخافات التي لا تُحتمل بخصوص الذكاء الاصطناعي؛ فقد مرَّ ما يزيد على السنة على إصدار chatGPT وغيره من نماذج الذكاء "الاصطنقاع...

اقرأ المزيد ←
مضطر أن أقطع الإنترنت عن وسائل التواصل فعدا عن أنني أكرهها وأن من دأبي أن أعتزله...

مضطر أن أقطع الإنترنت عن وسائل التواصل فعدا عن أنني أكرهها وأن من دأبي أن أعتزله...

مضطر أن أقطع الإنترنت عن وسائل التواصل فعدا عن أنني أكرهها وأن من دأبي أن أعتزلها كل حين وأنني فرَّطت في هذا كثيرا في الأوقات الأخيرة، إلا أنني ما أن وضعت رأسي على المخدة قُبيل قليل حتى دبَّت صواعق من...

اقرأ المزيد ←

عبقرية ابن تيمية المنسيّة في التصدي للأرسطيّة ذاد ابن تيمية عن قياس التمثيل في...

عبقرية ابن تيمية المنسيّة في التصدي للأرسطيّة ذاد ابن تيمية عن قياس التمثيل في وجه قياس الشمول كلَّ الذود في معرض رده وتصديه للمناطقة، فيقول: 《تفريقهم بين قياس الشمول وقياس التمثيل بأن الأول يفيد الي...

اقرأ المزيد ←
《كان عمر بن أبي ربيعة القرشي غزلا مشبِّبا بالنساء الحَواجّ، رقيق الغزل، وكان الأ...

《كان عمر بن أبي ربيعة القرشي غزلا مشبِّبا بالنساء الحَواجّ، رقيق الغزل، وكان الأ...

《كان عمر بن أبي ربيعة القرشي غزلا مشبِّبا بالنساء الحَواجّ، رقيق الغزل، وكان الأصمعي يقول في شعره: الفستق المقشر الذي لا يُشبَع منه! وكان جرير يستبرده ويقول: شعر حجازي، لو اتخذ في تموز لوُجد البرد فيه...

اقرأ المزيد ←

أول عناصر التسويق Marketing وأهمها ليس البضاعة ولا المنتجات، بل الشخصيات الدرامي...

أول عناصر التسويق Marketing وأهمها ليس البضاعة ولا المنتجات، بل الشخصيات الدرامية التافهة التي تستطيع قَلْب الغث سمينا وإحالة اللامعنى فائضا بالمعاني. قد أصبح الإنسان سلعةً تُستخَدم في التسويق لسلع تج...

اقرأ المزيد ←
قسا قلبي -وأنا قيس- جرَّاء إكثار الانكباب على العلوم المجردة الدقيقة وفي أولها ا...

قسا قلبي -وأنا قيس- جرَّاء إكثار الانكباب على العلوم المجردة الدقيقة وفي أولها ا...

قسا قلبي -وأنا قيس- جرَّاء إكثار الانكباب على العلوم المجردة الدقيقة وفي أولها المنطق وعلم التحسيب النظري. ولكنني أذكر رهافة حسٍّ أعظم تميزت بها سابقا وقتما كنت أوفي الآداب النفسية حقوقها من المطالعة....

اقرأ المزيد ←
إنك لتفتح كتب المناطقة المتأخرين، فتجد من التقاطعات الكثير بين الرؤية التيمية وأ...

إنك لتفتح كتب المناطقة المتأخرين، فتجد من التقاطعات الكثير بين الرؤية التيمية وأ...

إنك لتفتح كتب المناطقة المتأخرين، فتجد من التقاطعات الكثير بين الرؤية التيمية وأطروحاتهم ابن تيمية: "الحدود أقوال كلية...ولفظ يدل على معنى ونحو ذلك...فهي إذن لا تدل على حقيقة معينة بخصوصها، وإنما تد...

اقرأ المزيد ←
أبو العلاء المعري VS الفِرق الكلامية 

قُلتُم لنا خالقٌ حكيم |||| قلنا صدقتمْ كذ...

أبو العلاء المعري VS الفِرق الكلامية قُلتُم لنا خالقٌ حكيم |||| قلنا صدقتمْ كذ...

أبو العلاء المعري VS الفِرق الكلامية قُلتُم لنا خالقٌ حكيم |||| قلنا صدقتمْ كذا نقولُ زعمتموه بلا مكانٍ |||| ولا زمانٍ ألا فقولوا هذا كلامٌ له خبيءٌ |||| معناه ليست لنا عقول ~ اللزوميات، الجزء الث...

اقرأ المزيد ←
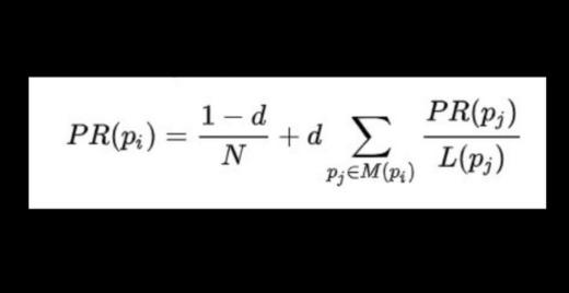
لولا هذه المعادلة لكان من الصعب اختراع المحركات البحثية مثل محرك غوغل وغيره

هذه...

لولا هذه المعادلة لكان من الصعب اختراع المحركات البحثية مثل محرك غوغل وغيره هذه...

لولا هذه المعادلة لكان من الصعب اختراع المحركات البحثية مثل محرك غوغل وغيره هذه معادلة ترتيب صفحات PageRank Equation، وهي جزء من خوارزمية ترتيب الصفحات PageRank Algorithm التي أوجدها لاري بيج وسيرجي ...

اقرأ المزيد ←
عالم الحاسوب جون سُوَا لا يفتأ يذكر ابن تيمية في أوراقه التحسيبية، وهذه المرة في...

عالم الحاسوب جون سُوَا لا يفتأ يذكر ابن تيمية في أوراقه التحسيبية، وهذه المرة في...

عالم الحاسوب جون سُوَا لا يفتأ يذكر ابن تيمية في أوراقه التحسيبية، وهذه المرة في ورقة عن علم الحاسوب الاستعرافي Cognitive Computer Science سبق وتطرقت كثيرَ التطرق إلى الأهمية التي أظهرها جون سوا لكت...

اقرأ المزيد ←

نظام المدرسة والجامعة من بعد على حد سواء لا يستطيع أن يجعل منك مبدعا، ليس ذلك فح...

نظام المدرسة والجامعة من بعد على حد سواء لا يستطيع أن يجعل منك مبدعا، ليس ذلك فحسب، بل قد يساهم في تأخيرك وتأخرك. ها؟ هل تظن الإبداع في العلوم يتأتى من: "إذا صار كذا فهو كذا" و"احفظ هذه فإن أتتك شبيهت...

اقرأ المزيد ←
انظر رعاك الله أهمية هذا الكلام من باحثة ألمانية حول ابن تيمية:

《وهذان العملان...

انظر رعاك الله أهمية هذا الكلام من باحثة ألمانية حول ابن تيمية: 《وهذان العملان...

انظر رعاك الله أهمية هذا الكلام من باحثة ألمانية حول ابن تيمية: 《وهذان العملان المترابطان -تقصد كتاب الرد على المنطقيين ودرء التعارض- لم يُدرَسَا حتى اليوم إلا نادرا. فإنهما يشكلان واحدة من أشمل وأقس...

اقرأ المزيد ←
《الرجل المتمرِّس يوظِّف عقله ليشتغل مثل المرآة، لا يستوعب شيئا، ولا يرفض شيئا، إ...

《الرجل المتمرِّس يوظِّف عقله ليشتغل مثل المرآة، لا يستوعب شيئا، ولا يرفض شيئا، إ...

《الرجل المتمرِّس يوظِّف عقله ليشتغل مثل المرآة، لا يستوعب شيئا، ولا يرفض شيئا، إنه يتلقى لكنه لا يحتفظ بما يَرِد عليه》 ~ جوانغ زِيْ، الأعمال الكاملة لجوانغ زي، Hackett Publishing.

اقرأ المزيد ←

قد سألني أحد الأخوة عن قراءاتي منذ بداية السنة، وقد عدت لسجلاتي فوجدت أنني أنهيت...

قد سألني أحد الأخوة عن قراءاتي منذ بداية السنة، وقد عدت لسجلاتي فوجدت أنني أنهيت 43 كتابا، بمجموع يزيد عن 18 ألف صفحة وبهذه المناسبة وبعد أن يرى القوم طبيعة الكتب المجرودة، فإنه سيعلم لماذا من التفاه...

اقرأ المزيد ←
هل يعرف الدارس العربي أن لنصير الدين الطوسي وعمر الخيام تأثيرا على الهندسة اللإق...

هل يعرف الدارس العربي أن لنصير الدين الطوسي وعمر الخيام تأثيرا على الهندسة اللإق...

هل يعرف الدارس العربي أن لنصير الدين الطوسي وعمر الخيام تأثيرا على الهندسة اللإقليدية التي بزغت في أوروبا إبان عصر النهضة؟ 1. يكتب نصير الدين الطوسي في القرن الثالث عشر تعليقات على شغل عمر الخيام في ...

اقرأ المزيد ←

التواضع في النقاشات العلمية مسألة مصطنعة ومفتعَلة، والمثير للدهشة أن حاملي لواء...

التواضع في النقاشات العلمية مسألة مصطنعة ومفتعَلة، والمثير للدهشة أن حاملي لواء التواضع في النقاشات هم أعينهم الذين يريدون من الجميع أن يعترف بأفضالهم وتعقِّمهم، والذين يحبون أن يُحرِجُوا ويعشقون إجرا...

اقرأ المزيد ←
ما ينمي جودة إبداع الباحث وخياله هو جودة انتباهه، والاستماع إلى صوت الأشياء

ما ينمي جودة إبداع الباحث وخياله هو جودة انتباهه، والاستماع إلى صوت الأشياء

ما ينمي جودة إبداع الباحث وخياله هو جودة انتباهه، والاستماع إلى صوت الأشياء. لأن أشياء الكون لا تمل أبدًا من التحدث والكشف عن نفسها لأولئك الذين يهتمون بسماعها. وأجمل بيت يظهر فيه حب العامل ليس أكبر أ...

اقرأ المزيد ←

يبدو أنه فيديو فاشل: صوتي جهوري جدا لدرجة مزعجة يفتقر إلى الترتيب والتشذيب لم أت...

يبدو أنه فيديو فاشل: صوتي جهوري جدا لدرجة مزعجة يفتقر إلى الترتيب والتشذيب لم أتحدث فيه بالفصحى قلت لنفسي مرارا أنني لا أصلح كيوتيوبر إلا أن التجربة تحب أن تفرض نفسها بعضَ الأحايين

اقرأ المزيد ←
خلَّصت دراسة كتاب جون ستيورات مِل: نظام المنطق، النسبي والاستقرائي A System of L...

خلَّصت دراسة كتاب جون ستيورات مِل: نظام المنطق، النسبي والاستقرائي A System of L...

خلَّصت دراسة كتاب جون ستيورات مِل: نظام المنطق، النسبي والاستقرائي A System of Logic, Ratiocinative and Inductive -بمجموع 1400 صفحة- وهو عمل نفيس وعميق التأثير على تطور التفكير العلمي والمنطقي في القر...

اقرأ المزيد ←
لكي تحل المعضلة التحسيبية التي في الصورة -معضلة البائع المتجول- فإنك تحتاج 8,400...

لكي تحل المعضلة التحسيبية التي في الصورة -معضلة البائع المتجول- فإنك تحتاج 8,400...

لكي تحل المعضلة التحسيبية التي في الصورة -معضلة البائع المتجول- فإنك تحتاج 8,400,000,000,000,000 سنة! يعني 8.4 كوادريليون سنة هذي معضلة البائع المتجول، وباختصار فإن جملتها: عندك بائع يريد زيارة عدد م...

اقرأ المزيد ←
ياسر الحزيمي: هو إبراهيم الفقي فرع التنمية الإسلامية، كلاهما يبيع الكلام على غير...

ياسر الحزيمي: هو إبراهيم الفقي فرع التنمية الإسلامية، كلاهما يبيع الكلام على غير...

ياسر الحزيمي: هو إبراهيم الفقي فرع التنمية الإسلامية، كلاهما يبيع الكلام على غير معنى، إلا أن الحزيمي أبرع في جعل كلامه يبدو أكثر عمقا، والبهارات الإسلامية تساعده كثيرا في ذلك

اقرأ المزيد ←
إن خطأً واحدا جرى كما نسمة الريح قصير المدد شديد الوطد سريع الأمد، لقادرٌ على أن...

إن خطأً واحدا جرى كما نسمة الريح قصير المدد شديد الوطد سريع الأمد، لقادرٌ على أن...

إن خطأً واحدا جرى كما نسمة الريح قصير المدد شديد الوطد سريع الأمد، لقادرٌ على أن يسلبك أوقاتا لا تتصور طولها ولا تتخيل تأثيرها محاولا التصليح وفي أحايين كثيرة محاولا التجاوز فحسب. وأيّما امرئٍ خضَّته ...

اقرأ المزيد ←
ميشا غروموف -أحد أباطرة الرياضيات في العصر الحديث- متأنقا بجلسة تجعلك لا تميزه عن شحاذ في الشارع

ميشا غروموف -أحد أباطرة الرياضيات في العصر الحديث- متأنقا بجلسة تجعلك لا تميزه عن شحاذ في الشارع

ميشا غروموف -أحد أباطرة الرياضيات في العصر الحديث- متأنقا بجلسة تجعلك لا تميزه عن شحاذ في الشارع. ~ الصورة من وثائقي حول غريشا بيرلمان تحدث فيه جمع غفير من عمالقة الروس عنه.

اقرأ المزيد ←
"يستطيع هذا القرص المضغوط CD-ROM تخزين معلومات أكثر من كل الأوراق التي تحتي مجتم...

"يستطيع هذا القرص المضغوط CD-ROM تخزين معلومات أكثر من كل الأوراق التي تحتي مجتم...

"يستطيع هذا القرص المضغوط CD-ROM تخزين معلومات أكثر من كل الأوراق التي تحتي مجتمعةً" ~ بل غيتس يطرح إعلانا عام 1994 تعليق: القرص المضغوط يستطيع تخزين 700 ميغابايت من البيانات، وصفحة الوورد Word الوا...

اقرأ المزيد ←
بين أيديكم كتابان من أروع ما سُطِّر في تلاقي الحواسيب والأدمغة، لمؤلفَيْن من عما...

بين أيديكم كتابان من أروع ما سُطِّر في تلاقي الحواسيب والأدمغة، لمؤلفَيْن من عما...

بين أيديكم كتابان من أروع ما سُطِّر في تلاقي الحواسيب والأدمغة، لمؤلفَيْن من عمالقة عصورهم، جون فون نويمان في كتابه "الحاسوب والدماغ" المنشور سنة 1958، وروجر بنروز في كتابه "عقل الإمبراطور الجديد: بخص...

اقرأ المزيد ←
بودكاست عن البرمجة التنافسية Competitive Programming، مع المبرمج التنافسي نيكولا...

بودكاست عن البرمجة التنافسية Competitive Programming، مع المبرمج التنافسي نيكولا...

بودكاست عن البرمجة التنافسية Competitive Programming، مع المبرمج التنافسي نيكولا أبو سعد، الحائز على التصنيف العالمي Master، مما يعني أنه من ضمن 1% الأفضل على مستوى العالم في البرمجة التنافسية نيكولا...

اقرأ المزيد ←
لغة البرمجة هاسكل من أصعب وأعقد وأعمق اللغات البرمجية الموجودة اليوم، إن لم تكن...

لغة البرمجة هاسكل من أصعب وأعقد وأعمق اللغات البرمجية الموجودة اليوم، إن لم تكن...

لغة البرمجة هاسكل من أصعب وأعقد وأعمق اللغات البرمجية الموجودة اليوم، إن لم تكن أصعبها وأعقدها وأعمقها، وللظانين بأنها غير مفيدة وغير مستخدمة: شركة ميتا Meta حاليا تستخدم هاسكل في عزل المحتوى غير الم...

اقرأ المزيد ←

بعض الناس مغفل لدرجة أنك إذا هاجمت جماعة أكاديمية عربية أو سلوك عربي معين انبروا...

بعض الناس مغفل لدرجة أنك إذا هاجمت جماعة أكاديمية عربية أو سلوك عربي معين انبروا من فورهم لرميك بتقديس الغرب! يا أيها السذج الحمقى الملاعين! مَن مثلي هاهنا تحدث وكشف عن الإنجازات العربية قديمها وحديثه...

اقرأ المزيد ←
ظهرت بعض الأخبار التافهة الي تريد ركوب التريند، بطرح أن تلغرام سيكف عن العمل

ظهرت بعض الأخبار التافهة الي تريد ركوب التريند، بطرح أن تلغرام سيكف عن العمل

ظهرت بعض الأخبار التافهة الي تريد ركوب التريند، بطرح أن تلغرام سيكف عن العمل. وهذا كلام شديد التفاهة؛ لأن التلغرام يشتغل بطريقة شبه لامركزية، وعلى فرض أن دوروف ستشق عليه الدنيا ويخسر معركته، إلا أن غي...

اقرأ المزيد ←
كل صديق هو عدو محتمَل مستقبلا، لذا فإنك كلما أخرت إضافة أحدهم إلى قائمة الأصدقاء...

كل صديق هو عدو محتمَل مستقبلا، لذا فإنك كلما أخرت إضافة أحدهم إلى قائمة الأصدقاء...

كل صديق هو عدو محتمَل مستقبلا، لذا فإنك كلما أخرت إضافة أحدهم إلى قائمة الأصدقاء، وفرت على نفسك عداوة وشيكة، لا تتسرع في ضمِّ صديق جديد. إن موقفا واحدا لا يكفل لك صداقة فلان، إلا أن واحدا آخر قد يكفل ...

اقرأ المزيد ←

تلم بالمرء مدلهمات تسحقه سحقا، وتكاد تقضي على آخر أنفاسه، حتى ليشعر بأبالسة الأر...

تلم بالمرء مدلهمات تسحقه سحقا، وتكاد تقضي على آخر أنفاسه، حتى ليشعر بأبالسة الأرض أجمعين وقد مكثوا فوق رأسه، وتقدح عيناه شررا، حتى لكأن البؤبؤ منهما قطعة مشتعلة من الجمر، وعند هذه الحال، وفي تينك الأث...

اقرأ المزيد ←
هذا الدكتور المزيف يسوق الكذب بوضوح ووقاحة

1) تم قبوله
2) تم تحكيمه من قبل أربع...

هذا الدكتور المزيف يسوق الكذب بوضوح ووقاحة 1) تم قبوله 2) تم تحكيمه من قبل أربع...

هذا الدكتور المزيف يسوق الكذب بوضوح ووقاحة 1) تم قبوله 2) تم تحكيمه من قبل أربع محكمين 3) قالوا أن البرهان صحيح "قالوا"؟ هو أنت قاعد في مقهى ليقولوا لك بالقول أن البرهان صحيح؟ الآن نحن أمام كاذب وقح...

اقرأ المزيد ←
لولا الزعم بأن الدوال وحيدة الاتجاه One-Way Functions موجودة، لما كان هنالك أي ش...

لولا الزعم بأن الدوال وحيدة الاتجاه One-Way Functions موجودة، لما كان هنالك أي ش...

لولا الزعم بأن الدوال وحيدة الاتجاه One-Way Functions موجودة، لما كان هنالك أي شكل من أشكال علم التشفير، وفي حين أنه لا يوجد إثبات واحد على وجودها، إلا أن افتراض الوجود الفعلي هو الذي يقيم لعلم التشفي...

اقرأ المزيد ←

الدكتور الذي ينشر عن حله لمسألة عملاقة عبر فيسبوك، وليس في مجلة علمية، وصفه الوح...

الدكتور الذي ينشر عن حله لمسألة عملاقة عبر فيسبوك، وليس في مجلة علمية، وصفه الوحيد أنه حمار، حمار بأذن عريضة وأنف طويل. هكذا فحسب، كفوا عن سخافاتكم وضحالاتكم أيها الحمقى الملاعين، ومن يصدق هكذا أخبار ...

اقرأ المزيد ←

وأعلن اليوم -أنا قيس العصا- عن حلحلتي للمعضلة الأصعب والأشقّ والأخطر في كل الريا...

وأعلن اليوم -أنا قيس العصا- عن حلحلتي للمعضلة الأصعب والأشقّ والأخطر في كل الرياضيات وعلم التحسيب، معضلة P vs NP. هذا مجرد منشور فيسبوك، فلا تسألوا عن الورقة البحثية، لأنه لا تسألوا عن أمور إن تُبْدَ ...

اقرأ المزيد ←
《عندما أسمع أن الأقل حساسية هم، على العموم، الأكثر سعادة، أتذكر المثل الهندي: "ا...

《عندما أسمع أن الأقل حساسية هم، على العموم، الأكثر سعادة، أتذكر المثل الهندي: "ا...

《عندما أسمع أن الأقل حساسية هم، على العموم، الأكثر سعادة، أتذكر المثل الهندي: "الجلوس خير من الوقوف، والاستلقاء خير من الجلوس، لكن الموت هو الأفضل بلا منازع".》 ~ نيكولا شامفور، العبر والمآثر، #155

اقرأ المزيد ←

فيسبوك ينقصه شيء عظيم، أنْ يطوروا شيئا من الخوارزميات لمنع سرقة المنشورات من غير...

فيسبوك ينقصه شيء عظيم، أنْ يطوروا شيئا من الخوارزميات لمنع سرقة المنشورات من غير إحالة لأصحابها، ومثلما يتعرض أصحاب محتوى معين، مثل العنف أو التعري أو غيره للحظر، يتعرض صعاليك المنشورات وسارقو المحتوى...

اقرأ المزيد ←
《أول شيء يتعين عليك فعله حينما تأخذ سيفًا بين يديك هو تنفيذ نيتك في تقطيع العدو...

《أول شيء يتعين عليك فعله حينما تأخذ سيفًا بين يديك هو تنفيذ نيتك في تقطيع العدو...

《أول شيء يتعين عليك فعله حينما تأخذ سيفًا بين يديك هو تنفيذ نيتك في تقطيع العدو إرَبًا مهما كانت الوسيلة. عندما تتفادى أو تضرب أو تبري أو تلمس سيف العدو القاطع، يجب عليك جزُّ العدو في نفس الحركة وعند...

اقرأ المزيد ←

في حين يبحث كثيرون عن حضن يستدفئون به، أنا غارق في التفكير بإمكانية إيجاد خوارزم...

في حين يبحث كثيرون عن حضن يستدفئون به، أنا غارق في التفكير بإمكانية إيجاد خوارزمية كثير حدود لتوازن ناش Nash Equilibrium، التعقيد الحسابي لتوازن ناش هو واحد من أعقد المسائل التحسيبية في نظرية اللعبة ا...

اقرأ المزيد ←

ليس للإنسان من عزاء أفضل من أنْ ينسى اللحظة التي هو فيها، لا أن يعيش فيها، بل أن...

ليس للإنسان من عزاء أفضل من أنْ ينسى اللحظة التي هو فيها، لا أن يعيش فيها، بل أن يتجاوزها، ويكفيه جرأةً أن يعرف أنه لن يذكر شيئا من لحظاته السيئة هذه بعد مرور قليل من السنين عليها. وبذا فإنه يراهن على...

اقرأ المزيد ←
أوهمت مواقع التواصل الاجتماعي أسرابا من الحمقى أنهم محورٌ لقضية ما، فلأنَّ لكل أ...

أوهمت مواقع التواصل الاجتماعي أسرابا من الحمقى أنهم محورٌ لقضية ما، فلأنَّ لكل أ...

أوهمت مواقع التواصل الاجتماعي أسرابا من الحمقى أنهم محورٌ لقضية ما، فلأنَّ لكل أحد أيا تكن بضاعته صفحةً تخصه، فيها يمكث له أصدقاء ومتابعون، فقد جرت في أذهانهم رؤى بأن حساباتهم الخاصة ليست مجرد واجهة ب...

اقرأ المزيد ←

فِراستي جيدة، ما أن أرى امرأً يتنطع في جلسته، ويصوِّب شماغه كل حين، ويحرِّك سترت...

فِراستي جيدة، ما أن أرى امرأً يتنطع في جلسته، ويصوِّب شماغه كل حين، ويحرِّك سترته في الدقيقة عشرين مرة، حتى ينفذ بصري إلى رأسه فلا أرى دماغا بل كومة من الحجارة! وكما قال شوبنهاور إن من لا يحسن الجلوس ...

اقرأ المزيد ←
《تعامل مع الصعب بينما لا يزال سهلا، تعامل مع الضخم بينما لا يزال صغيرا

《تعامل مع الصعب بينما لا يزال سهلا، تعامل مع الضخم بينما لا يزال صغيرا

《تعامل مع الصعب بينما لا يزال سهلا، تعامل مع الضخم بينما لا يزال صغيرا. فالصعب ينشأ من السهل، والضخم من الصغير. لذا حين يتعامل الحكيم مع الصغير؛ يحقق الضخم، يسهل القبض على الساكن، يسهل ارتقاب البعيد، ...

اقرأ المزيد ←

ابن باز يقتبس من شوبنهاور 《قال شوبنهاور الألماني: قل هو الخلل العظيم في ترتيب أ...

ابن باز يقتبس من شوبنهاور 《قال شوبنهاور الألماني: قل هو الخلل العظيم في ترتيب أحوالنا الذي دعا المرأة لمشاركة الرجل في علو مجده وباذخ رفعته وسهل عليها التعالي في مطامعها الدنيئة حتى أفسدت المدنية الح...

اقرأ المزيد ←
هتلر يقتبس من شوبنهاور:

"وتقوم علاقة اليهودي بالشعوب التي يفعل بها فعل الطفيليا...

هتلر يقتبس من شوبنهاور: "وتقوم علاقة اليهودي بالشعوب التي يفعل بها فعل الطفيليا...

هتلر يقتبس من شوبنهاور: "وتقوم علاقة اليهودي بالشعوب التي يفعل بها فعل الطفيليات بالجسم على الكذب والتدجيل. ألم يقل شوبنهاور إن الشعب المختار هو الأستاذ الأعظم في فن الكذب؟" ~ كفاحي، ص174، المؤسسة ا...

اقرأ المزيد ←
متى سيتيسر للمرء صفاء الذهن وسعة الوقت للانكباب على هذي التحفة

متى سيتيسر للمرء صفاء الذهن وسعة الوقت للانكباب على هذي التحفة

متى سيتيسر للمرء صفاء الذهن وسعة الوقت للانكباب على هذي التحفة! قد عرَّفني عليها محاريق منذ سنتين وأندم على أنني لم أشرع في قراءتها منذ ذلك الحين...أتدري ما معنى أن تدرس كتاب سبايفك هذا -ذا الخمسة مجل...

اقرأ المزيد ←
واحد من أسرار الإبداع أن تقرأ أوراقا بحثية، فالكتب المدرسية Textbooks لا تكفي ال...

واحد من أسرار الإبداع أن تقرأ أوراقا بحثية، فالكتب المدرسية Textbooks لا تكفي ال...

واحد من أسرار الإبداع أن تقرأ أوراقا بحثية، فالكتب المدرسية Textbooks لا تكفي البتة لتنمية القريحة الإبداعية في الصورة 61 ورقةً بحثية كلها متعلق بالبلوكتشين، قرأتها في الشهور الثلاثة الأخيرة، وبالرغم...

اقرأ المزيد ←
استعادة السيطرة على الحساب وعلى التلغرام، بل على الجهاز بأسره

استعادة السيطرة على الحساب وعلى التلغرام، بل على الجهاز بأسره

استعادة السيطرة على الحساب وعلى التلغرام، بل على الجهاز بأسره! ولكنني للآن لم أنجح في كشف هوية المهاجم رغم ادعاءه بأنه إسرائيلي، والذي يجعلني أظن أنه ليس كذلك؛ أن الإسرائيليين يأتون لاعتقالك من سريرك...

اقرأ المزيد ←

"قال إسحاق الموصليّ: نظرتُ إلى شاب مخنث حسن الوجه جدا قد هلب لحيته فشان وجهه، فق...

"قال إسحاق الموصليّ: نظرتُ إلى شاب مخنث حسن الوجه جدا قد هلب لحيته فشان وجهه، فقلت له: لمَ تفعل هذا بلحيتك، وقد علمت أن جمال الرجال في اللحى؟ فقال: يا أبا محمد، أيسرك بالله أنها في أستك؟ قلت: لا والله...

اقرأ المزيد ←

"قال: طلق رجل امرأته، فمرّ رجل في بعض الطرقات فسمع امرأةً تسأل أخرى عنها فقالت: البائسة طلقها زوجها

"قال: طلق رجل امرأته، فمرّ رجل في بعض الطرقات فسمع امرأةً تسأل أخرى عنها فقالت: البائسة طلقها زوجها! فقالت: أحسن بارك الله عليه. فقال لها: يا أمة الله، من شأن النساء التعصُّب بعضهن لبعض، وأسمعك تقولين...

اقرأ المزيد ←
للراغبين في دراسة البلوكتشين، من غير متطلبات سابقة؛ ذا الكتاب جِدُّ ممتاز، ويصلح...

للراغبين في دراسة البلوكتشين، من غير متطلبات سابقة؛ ذا الكتاب جِدُّ ممتاز، ويصلح...

للراغبين في دراسة البلوكتشين، من غير متطلبات سابقة؛ ذا الكتاب جِدُّ ممتاز، ويصلح لمستويات أعلى كما للمبتدئين. قلَّ أن تجد كتب علمية تنشرها دار Manning ولا تكون عملاقة

اقرأ المزيد ←
"مثلما يقول الأقدمون ينبغي أن يتخذ المرء قراراته في غضون سبعة أنفاس

"مثلما يقول الأقدمون ينبغي أن يتخذ المرء قراراته في غضون سبعة أنفاس

"مثلما يقول الأقدمون ينبغي أن يتخذ المرء قراراته في غضون سبعة أنفاس. قال المعلم تاكاتوبو: 《إذا طال التفكُّر فسدت الفكرة》. وقال المعلم تاوشيجي: 《إذا فُعِلَت الأشياء بتمهّل شديد فسبعة من كل عشرة أمور ست...

اقرأ المزيد ←
ورقة ساتوشي ناكاموتو البحيثة هذه، ذات ال8 صفحات، وال8 مراجع، أسَّست وسمحت بإطلاق...

ورقة ساتوشي ناكاموتو البحيثة هذه، ذات ال8 صفحات، وال8 مراجع، أسَّست وسمحت بإطلاق...

ورقة ساتوشي ناكاموتو البحيثة هذه، ذات ال8 صفحات، وال8 مراجع، أسَّست وسمحت بإطلاق اقتصاد جديد يزيد اليوم عن 2 تريليون دولار! ب1.19 تريليون للبيتكوين وحده كما أنه كتب كود النسخة المبدئية من البيتكوين -...

اقرأ المزيد ←

في الصورة -من برمجتي- مفارقة الملكات الثمانية، وهي مفارقة شهيرة في الشطرنج والتو...

في الصورة -من برمجتي- مفارقة الملكات الثمانية، وهي مفارقة شهيرة في الشطرنج والتوافقيات combinatorics، يَمثُل التحدي في وضع ثمانية ملكات على رقعة الشطرنج ذات 8×8، بحيث لا يمكن لأي ملكة أن تهاجم أخرى، و...

اقرأ المزيد ←
وقعت على كتاب "ليونارد أويلر: العبقرية الرياضية في عصر التنوير" وما أن وقعت عليه...

وقعت على كتاب "ليونارد أويلر: العبقرية الرياضية في عصر التنوير" وما أن وقعت عليه...

وقعت على كتاب "ليونارد أويلر: العبقرية الرياضية في عصر التنوير" وما أن وقعت عليه حتى قررت البدء فورا في قراءته، لعلمي بأهمية كتب السِّيَر في السياقات العلمية؛ فمثل ذي الكتب إنما تعزز القريحة وتجلي الس...

اقرأ المزيد ←

أصحاب المحتوى الذين يندرجون تحت وصف طلبة العلم ما هم إلا حيوانات اجترار، فالساحة...

أصحاب المحتوى الذين يندرجون تحت وصف طلبة العلم ما هم إلا حيوانات اجترار، فالساحة ملأى بأوصاف وألقاب إنْ هي إلا زيف بائس يبعث على السآمة، وما يميز تينك الطغمة الهائلة أن روَّادها على أبعد ما يكون من ال...

اقرأ المزيد ←

(( إذا ما أصبحنا الآن على قناعة بطريقة قبلية، من خلال أعم التأملات، ومن خلال فحص...

(( إذا ما أصبحنا الآن على قناعة بطريقة قبلية، من خلال أعم التأملات، ومن خلال فحص السمات الأولى للحياة الإنسانية، بأن هذه الحياة بفطرتها وطبيعتها ليست بقادرة على أن تمنحنا أي سعادة حقيقية، وإنما هي في...

اقرأ المزيد ←
"في رده على الفلاسفة والمتكلمين، أكَّد ابن تيمية مقولة الكندي، أنه لكي تدحض فلسف...

"في رده على الفلاسفة والمتكلمين، أكَّد ابن تيمية مقولة الكندي، أنه لكي تدحض فلسف...

"في رده على الفلاسفة والمتكلمين، أكَّد ابن تيمية مقولة الكندي، أنه لكي تدحض فلسفةً فإن عليك أن توظِّف فلسفةً أخرى. ويستعمل ابن تيمية حججا منطقية، مصنَّفة كلاميا في أغلب الأحايين، ليدعِّم أرضيته ولينقد...

اقرأ المزيد ←

خلَّصت قراءة ثلاثة مجلدات أخرى [الرابع والخامس والسادس] من كتاب "مرجع المنطق الف...

خلَّصت قراءة ثلاثة مجلدات أخرى [الرابع والخامس والسادس] من كتاب "مرجع المنطق الفلسفي" بواقع 1200 صفحة، ذي ال18 مجلدا، والذي يزيد مجتمعةً مجلداتُه عن 8000 صفحة. وكنت قد أنهيت قبل شهرين قراءة المجلدات ا...

اقرأ المزيد ←
أخبار صحتُها واردة تقول أن الاستخبارات الإسرائيلية استطاعت تتبع موقع إسماعيل هني...

أخبار صحتُها واردة تقول أن الاستخبارات الإسرائيلية استطاعت تتبع موقع إسماعيل هني...

أخبار صحتُها واردة تقول أن الاستخبارات الإسرائيلية استطاعت تتبع موقع إسماعيل هنية من خلال الواتسآب، أرسلوا رسالة ملغومة له تحتوي على Spyware، الأمر الذي أدى إلى تحديد موقعه بدقة، ومن ثم ضربه بهجوم درو...

اقرأ المزيد ←
"لقد تذوق ابن تيمية سم الفلسفة، ولكن عقله اللامع حول السم إلى عسل، وهذا العسل ذا...

"لقد تذوق ابن تيمية سم الفلسفة، ولكن عقله اللامع حول السم إلى عسل، وهذا العسل ذا...

"لقد تذوق ابن تيمية سم الفلسفة، ولكن عقله اللامع حول السم إلى عسل، وهذا العسل ذاته، الذي بالوسع استخراجه من خلية كتاباته، قادرٌ إذن على تغذية حقبة جديدة من الفلسفة الإسلامية الحديثة." ~ جورجس تامر، ...

اقرأ المزيد ←
"الجمهور يعرف عن الاغتيالات والاقتحامات والتنصت وتجنيد العملاء فحسب

"الجمهور يعرف عن الاغتيالات والاقتحامات والتنصت وتجنيد العملاء فحسب

"الجمهور يعرف عن الاغتيالات والاقتحامات والتنصت وتجنيد العملاء فحسب. هذا فقط جزء مما يفعله الموساد. الاغتيالات جزء صغير ولا يكاد يذكر، على عكس ما يعتقده الكثيرون، فلا تتمتع أي منظمة بامتياز الفحص مثل ...

اقرأ المزيد ←
لم أعترف يوما بأستاذ في جامعة أصبو إلى علمه، الذي يكون زائفا في كل الأحايين، ولم...

لم أعترف يوما بأستاذ في جامعة أصبو إلى علمه، الذي يكون زائفا في كل الأحايين، ولم...

لم أعترف يوما بأستاذ في جامعة أصبو إلى علمه، الذي يكون زائفا في كل الأحايين، ولم أَرُمْ يوما أن أتعلم من أحدهم باعتبار أنه معلِّم، إني ليس لي أساتيذ، وعندي معلِّمان فحسب، رأسي وما فيه من كهرباء، والكت...

اقرأ المزيد ←
نموذج اللغة الكبير Claude جعل ChatGPT يبدو مجرد أسطورة استحوذت على خيال الناس فح...

نموذج اللغة الكبير Claude جعل ChatGPT يبدو مجرد أسطورة استحوذت على خيال الناس فح...

نموذج اللغة الكبير Claude جعل ChatGPT يبدو مجرد أسطورة استحوذت على خيال الناس فحسب، من غير وزن حقيقي لقدراته نموذج Claude 3 Opus يتفوق بمراحل ملحوظة على GPT-4، من حيث التمنطق المعقد Complex Reasoning...

اقرأ المزيد ←

مَرَّ رجلٌ صالحٌ بِمدرسة البلدة فرأى مُعلِّمَها يضربُ طِفلا ضَربًا مُوجعا، أشفق...

مَرَّ رجلٌ صالحٌ بِمدرسة البلدة فرأى مُعلِّمَها يضربُ طِفلا ضَربًا مُوجعا، أشفق الرجلُ الصالح على الطفل الصغير، وتقدّم مِن المُعلّم يسألُه عن الأمر، فقال المُعلّم: هذا ولد كسلان شرير عنيد، أنا مُنذ شه...

اقرأ المزيد ←

الرعبُ ألا تكاد تمضي عليك ليلة قُبيل نومك إلا وتتخيل فيها نفسك ستينيًّا على مشارف الموت

الرعبُ ألا تكاد تمضي عليك ليلة قُبيل نومك إلا وتتخيل فيها نفسك ستينيًّا على مشارف الموت...ذا يوم سيأتي مثلما أتى عليك هذا اليوم بعد عشرين سنة من الطفولة! سيأتي لا محالة، ولكن، إذا كان كل هذا الرعب في ...

اقرأ المزيد ←

قال أبو العلاء المعري في اللزوميات: 《والقوم شرٌّ فلا يسرُرْك إن بسطوا ●●●● لك ال...

قال أبو العلاء المعري في اللزوميات: 《والقوم شرٌّ فلا يسرُرْك إن بسطوا ●●●● لك الوجوهَ ولا يحزنك إن عبسوا》 والحقُّ أنَّ منْ يأخذ الناسَ مأخذَ جِد واحدٌ من اثنين: إما مسكين لم تقسو عليه الحياة جيدا بعد،...

اقرأ المزيد ←

يحتاج المرء شهرا ليقرأ وشهورا ليفهم وسنين لِيُنتج، فما مزاولة القراءة إلا تجلي د...

يحتاج المرء شهرا ليقرأ وشهورا ليفهم وسنين لِيُنتج، فما مزاولة القراءة إلا تجلي دماغ شخص آخر في رأسك، أو على حد تعبير شوبنهاور "القراءة إنْ هي إلا التفكير برؤوس الآخرين لا برؤوسنا نحن" ولذا فإن مدمني ا...

اقرأ المزيد ←

إيفاريست غالْوَا وضياع الرياضيات، ومن لا يعرف غالْوَا

إيفاريست غالْوَا وضياع الرياضيات، ومن لا يعرف غالْوَا! لعل الرياضياتي الفرنسي غالْوَا من الذين يتمنى المجتمع الرياضياتي لو عاشوا أكثر مما عاشوا، فذا الفتى في الصورة مات وعمرُه عشرون سنة! وعند هذا ...

اقرأ المزيد ←
ابن تيمية: "العقل، وخاصةً: القياس والاعتبار والقضايا الكلية، فلا بد له من الحسيا...

ابن تيمية: "العقل، وخاصةً: القياس والاعتبار والقضايا الكلية، فلا بد له من الحسيا...

ابن تيمية: "العقل، وخاصةً: القياس والاعتبار والقضايا الكلية، فلا بد له من الحسيات التي هي الأصل ليعتبر بها"¹ شوبنهاور: "إن العقل أنثوي بطبيعته؛ فهو يمكن أن يَهَب فقط بعد أن يتلقى. فهو في حد ذاته ليس ...

اقرأ المزيد ←
جديد المقالات: برمجة الحاسوب ليلعب الشطرنج، بانتقاء سياقات رياضية وبرمجية عميقة،...

جديد المقالات: برمجة الحاسوب ليلعب الشطرنج، بانتقاء سياقات رياضية وبرمجية عميقة،...

جديد المقالات: برمجة الحاسوب ليلعب الشطرنج، بانتقاء سياقات رياضية وبرمجية عميقة، كتبته بالإنجليزية لأنني لا زلت لم أحل مشكلة المحاذاة من اليمين لليسار، وذي تسبب خللا في عرض الكود والمعادلات، لعلي أصنع...

اقرأ المزيد ←
"من العناية الإلهية أن الشاب أو الرجل المخترع لا يحظى بمليون دولار، فحينئذ سيجد صعوبة في التفكير

"من العناية الإلهية أن الشاب أو الرجل المخترع لا يحظى بمليون دولار، فحينئذ سيجد صعوبة في التفكير

"من العناية الإلهية أن الشاب أو الرجل المخترع لا يحظى بمليون دولار، فحينئذ سيجد صعوبة في التفكير. فيكون العقل ثاقبا وأكثر حدة في الوحدة والعزلة المستمرة. لا حاجة لمختبر كبير ليُفكَّر فيه. إن الأصالة ت...

اقرأ المزيد ←

حُكي عن ابن عباس أنه أُتيَ بشاب محمول -عُروة بن حزام- قد صار كالشنّ البالي، فقيل...

حُكي عن ابن عباس أنه أُتيَ بشاب محمول -عُروة بن حزام- قد صار كالشنّ البالي، فقيل له: استشفِ الله لهذا المريض، يا ابن عمّ رسول الله، فقال له ابن عباس: ما علّتُك يا فتى؟ فلم يُحِرْ جوابا، ثم رفع رأسه، و...

اقرأ المزيد ←
أبحث عن مؤسسين مشاركين Co-founders معي في مشروع برمجي يتعلق بالبلوكتشين

أبحث عن مؤسسين مشاركين Co-founders معي في مشروع برمجي يتعلق بالبلوكتشين

أبحث عن مؤسسين مشاركين Co-founders معي في مشروع برمجي يتعلق بالبلوكتشين. فكرة جديدة تخضغ للضوابط الإسلامية بصورة تامة، وبالتالي تستهدف جمهورا مخصَّصًا لم يُستَهدَف بعينه من قبل. من يرى في نفسه المقد...

اقرأ المزيد ←

قال الفوزان في شرحه للطحاوية: (( المطلوب أن الإنسان يتبع الحق، المطلوب أن الإن...

قال الفوزان في شرحه للطحاوية: (( المطلوب أن الإنسان يتبع الحق، المطلوب أن الإنسان يبحث عن الحق ويطلب الحق ويعمل به، أما أنه يتسمى بأنه " سلفي" أو "أثري" أو ما أشبه ذلك فلا داعي لهذا، "قل أتعلمون الل...

اقرأ المزيد ←
لا يزال المرء في نعمة حتى يستذكر زمانا ماضيا استقر فيه على قوة وصلابة وبأس، فتعص...

لا يزال المرء في نعمة حتى يستذكر زمانا ماضيا استقر فيه على قوة وصلابة وبأس، فتعص...

لا يزال المرء في نعمة حتى يستذكر زمانا ماضيا استقر فيه على قوة وصلابة وبأس، فتعصف به الفِكَر ويؤرقه العَكَر، ويود لو استحال موطن البؤس المسمى بالذاكرة إلى واقع يُعَاش، ويرجو لو تصيَّر شعورُ التذكر شعو...

اقرأ المزيد ←

الشعر العربي الحر (الذي ليس بشعر) هو انعكاس لخناثة الأوروبيين الشعرية، والذي جلب...

الشعر العربي الحر (الذي ليس بشعر) هو انعكاس لخناثة الأوروبيين الشعرية، والذي جلب لنا الشعر الحر وصدَّره قد تجنَّى على العربية كلَّ التجني، فمحمود درويش وأدونيس أو بدر السياب ومَن على شاكلتهم شِسعٌ في ...

اقرأ المزيد ←
خلَّصت دراسة المجلدات الخمسة من كتاب الشفاء المعنية بالمنطق والإلهيات (≈2800 صفح...

خلَّصت دراسة المجلدات الخمسة من كتاب الشفاء المعنية بالمنطق والإلهيات (≈2800 صفح...

خلَّصت دراسة المجلدات الخمسة من كتاب الشفاء المعنية بالمنطق والإلهيات (≈2800 صفحة) لغة ابن سينا رائقة وممتازة بحق، الرجل يكتب على أحلى ما يكون، وتصنيفه وتبويبه للحقول جدُّ ماتع، كما أن استطراداته واف...

اقرأ المزيد ←

برهان كارت غودل الأنطولوجي على وجود الله، الوجوه الرياضية الصورية فقط من البرهان...

برهان كارت غودل الأنطولوجي على وجود الله، الوجوه الرياضية الصورية فقط من البرهان؛ سأتجاهل الوجوه الفلسفية بيان البرهان الذي يستخدم النظام الخامس من منطق الموجِّهات (Modal Logic S5) 1. البَدهيَّة الأ...

اقرأ المزيد ←
إنه لمن الغرابة تاريخيا أن فلسفة الإنجليز حملت منهجية ابن تيمية إلى خلاصاتها المنطقية

إنه لمن الغرابة تاريخيا أن فلسفة الإنجليز حملت منهجية ابن تيمية إلى خلاصاتها المنطقية

إنه لمن الغرابة تاريخيا أن فلسفة الإنجليز حملت منهجية ابن تيمية إلى خلاصاتها المنطقية. ليست الإثارة في التشابه بين النقد الإنجليزي وبين نقد ابن تيمية فحسب، لكن النزعة التجريبية الواضحة لكليهما. العلم...

اقرأ المزيد ←
قصة ظريفة

في الصورة صانع الواتسآب جان كوم Jan Koum

عام 2008 يتقدم مع صديقه للت...

قصة ظريفة في الصورة صانع الواتسآب جان كوم Jan Koum عام 2008 يتقدم مع صديقه للت...

قصة ظريفة في الصورة صانع الواتسآب جان كوم Jan Koum عام 2008 يتقدم مع صديقه للتوظُّف في شركة فيسبوك...يُرفَضان كلاهما عام 2009 يصدر الواتسآب عام 2014 يدعوه مارك زوكربيرغ شخصيا للعشاء في منزله، ويتف...

اقرأ المزيد ←
"إذا كانت P = NP، فإن العالم بأسره سيغدو مكانا مختلفا عما هو عليه

"إذا كانت P = NP، فإن العالم بأسره سيغدو مكانا مختلفا عما هو عليه

"إذا كانت P = NP، فإن العالم بأسره سيغدو مكانا مختلفا عما هو عليه. لن تكون هنالك قيمة للقفزات الإبداعية، ولن تُوجد هُوَّة بين حل مشكلةٍ والتعرف على حلها وقتما وُجد. كل شخص يستطيع تقدير السيمفونيات سيك...

اقرأ المزيد ←

《عندما يرى المرء ذلك العدد الضخم من معاهد العلم، ومدى تنوعها

《عندما يرى المرء ذلك العدد الضخم من معاهد العلم، ومدى تنوعها. ويشهد ذلك الحشد العارم من طلاب العلم وأساتذته. فإنه قد يتبادر إلى ذهنه أن الجنس البشرى منشغل انشغالا بالغا بالحكمة والحقيقة، إلا أن المظاه...

اقرأ المزيد ←

| ابن تيمية في القرن الثالث عشر ينقد المنطق الأرسطي | ~ سعيد فودة في عالم موازٍ...

| ابن تيمية في القرن الثالث عشر ينقد المنطق الأرسطي | ~ سعيد فودة في عالم موازٍ عام 2010 كتاب تدعيم المنطق: "رد هجوم ابن تيمية على علم المنطق" عفوا، علم المنطق؟ أنت في 2010 يا رجل! تصوَّرْ أحدا على ...

اقرأ المزيد ←

قمتُ بالاشتغال على تمثيل مرئي للتردادت الموجية Waveform لبحور الشعر العربية، وال...

قمتُ بالاشتغال على تمثيل مرئي للتردادت الموجية Waveform لبحور الشعر العربية، والناتج أمامكم القمم peaks والقيعان troughs تمثل الشرطتَين الطويلة والقصيرة محور x يمثل الزمن أو تطور البحر، محور y يمثل ا...

اقرأ المزيد ←
إلى الشباب المهتمين بالذكاء الاصطناعي واللغة العربية

بدل الركض وراء صرعات مقتول...

إلى الشباب المهتمين بالذكاء الاصطناعي واللغة العربية بدل الركض وراء صرعات مقتول...

إلى الشباب المهتمين بالذكاء الاصطناعي واللغة العربية بدل الركض وراء صرعات مقتولة بحثا، هاكُم مجالا بأمسِّ الحاجة إلى بُحَّاث ومتخصصين! أقصد معالجة اللغة العربية الطبيعية Arabic NLP، فذا حقلٌ يكاد يُع...

اقرأ المزيد ←

عام 2014، استطاع المخترق الألماني المعجزة يان كريسلر الملقب بStarbug أن يستخلص ب...

عام 2014، استطاع المخترق الألماني المعجزة يان كريسلر الملقب بStarbug أن يستخلص بصمة إصبع وزيرة الدفاع الألمانية من صور التقطها ليدها في إحدى الأماكن العامة! بدايةً استعمل كريسلر العدسات المقربة Telep...

اقرأ المزيد ←
بمناسبة إرسال دائرة علم الحاسوب بيانا لنا، يبدأ بِ[يُرجى التعميم] للترويج لقسم ع...

بمناسبة إرسال دائرة علم الحاسوب بيانا لنا، يبدأ بِ[يُرجى التعميم] للترويج لقسم ع...

بمناسبة إرسال دائرة علم الحاسوب بيانا لنا، يبدأ بِ[يُرجى التعميم] للترويج لقسم علم الحاسوب في الجامعة، ولإقناع طلبة الثانوية العامة بالدراسة هنا، فإنني أنصح أي طالب مقبل على الدراسة ألا يسجل إطلاقا، ا...

اقرأ المزيد ←

- أعقبته بتعليق على الفيسبوك - ضغط النصوص يعد من أشهر التطبيقات: فلنفترض أن عن...

- أعقبته بتعليق على الفيسبوك - ضغط النصوص يعد من أشهر التطبيقات: فلنفترض أن عندنا رسالة نصية قصيرة "ABABABAB"، ونريد ضغطها، أي تقليل مساحتها على الحاسوب: ● نحسب التوزيع الاحتمالي: 1. نحسب تكرار كل...

اقرأ المزيد ←
لولا هذه المعادلة لمَا كان هنالك إنترنت ولا حواسيب ولا تكنولوجيا من الأساس

لولا هذه المعادلة لمَا كان هنالك إنترنت ولا حواسيب ولا تكنولوجيا من الأساس

لولا هذه المعادلة لمَا كان هنالك إنترنت ولا حواسيب ولا تكنولوجيا من الأساس! هذي معادلةُ اعتلاج entropy تفاضلية -Differential entropy- صاغها كلود شانون -أبو نظرية المعلومات- عام 1948 في ورقته البحثية ...

اقرأ المزيد ←

حسب مدير العلوم العسكرية في المعهد الملكي للخدمات المتحدة البريطاني RUSI، فإن وح...

حسب مدير العلوم العسكرية في المعهد الملكي للخدمات المتحدة البريطاني RUSI، فإن وحدة الاستخبارات الإسرائيلية 8200 التابعة لجهاز الاستخبارات العسكري أمان Aman אגף המודיעין، هي أكثر وحدات الاستخبارات تقدم...

اقرأ المزيد ←

العلوم الحديثة، من أقلِّها تجريدا حتى أكثرها تعقيدا، تستلزم قياس التمثيل استلزام...

العلوم الحديثة، من أقلِّها تجريدا حتى أكثرها تعقيدا، تستلزم قياس التمثيل استلزاما بما لا يُقَاس مع قياس الشمول. وهاهنا تظهر عبقرية ابن تيمية المنطقية؛ فدفاعه عن التمثيل في وجه الشمول كان فذًّا وموفقًّ...

اقرأ المزيد ←
"إذا كانت هنالك ضوضاء ليلًا، فإنني أقفز من سريري مُستَلًّا سيفي ومسدساتي، اللوات...

"إذا كانت هنالك ضوضاء ليلًا، فإنني أقفز من سريري مُستَلًّا سيفي ومسدساتي، اللوات...

"إذا كانت هنالك ضوضاء ليلًا، فإنني أقفز من سريري مُستَلًّا سيفي ومسدساتي، اللواتي كنتُ أحتفظ بهن محشوات بالرصاص دوما" ~ شوبنهاور، سيرة شوبنهاور الذاتية، ديفيد كارترايت، ص465 (الكتاب بالإنجليزية)

اقرأ المزيد ←
إذا ما دَهَمَتني الفِكَر، وقدحت شراييني كالشرر، غامضةً تسبح أمامي كالصور النحيلة...

إذا ما دَهَمَتني الفِكَر، وقدحت شراييني كالشرر، غامضةً تسبح أمامي كالصور النحيلة...

إذا ما دَهَمَتني الفِكَر، وقدحت شراييني كالشرر، غامضةً تسبح أمامي كالصور النحيلة، فإنَّ رغبةً لا يبلغ مداها التعبيرُ تأخذني لاعتقالها وأسرها، فأَذَرُ كلَّ شيء جانبا، وأطاردها خلال كلِّ الأتاوية كما يط...

اقرأ المزيد ←

خلَّصت قراءة قاموس فولتير الفلسفي، يقع في ستة مجلدات (≈2400 صفحة)، نشره مشروع Li...

خلَّصت قراءة قاموس فولتير الفلسفي، يقع في ستة مجلدات (≈2400 صفحة)، نشره مشروع Liberty Fund، والقاموس يشكِّل سلسلةً من المقالات التي كتبها فولتير بين عامي 1752 و1764، لتُجمَع بعد وفاته عام 1769 فيما سم...

اقرأ المزيد ←

《قال ثُمامة بن أشرس: قلت لجعفر بن يحيى: ما البيان

《قال ثُمامة بن أشرس: قلت لجعفر بن يحيى: ما البيان؟ قال: أن يكون الاسم يُحيط بمعناك ويُجلي عن مغزاك وتخرجه من الشركة ولا تستعين عليه بالفكرة. والذي لا بد منه أن يكون سليما من التكلف بعيدا عن الصنعة بري...

اقرأ المزيد ←
قد تغيرت أشياءُ كثيرة فيما أحسب، إلا نظرات العيون الحادة، بوارق تعقبها صواعق

وك...

قد تغيرت أشياءُ كثيرة فيما أحسب، إلا نظرات العيون الحادة، بوارق تعقبها صواعق وك...

قد تغيرت أشياءُ كثيرة فيما أحسب، إلا نظرات العيون الحادة، بوارق تعقبها صواعق وكما قال أبو العلاء المعري: إِذا ما عَدَدتُ السِنَّ عُدتُ بِتَرحَةٍ |||| وَأَمَّلتُ رَبّي أَن يُحِلَّ عِقالي أُسَرُّ لِدُ...

اقرأ المزيد ←

《عند العرب، نجد المعلقات، وهي كنز مجيد

《عند العرب، نجد المعلقات، وهي كنز مجيد. وهي توحي بأمة حربية، والموضوعات الرئيسة هي: الولاء الراسخ للقبيلة، والكرم والتضحية، كلها بلا حدود، وتزداد قيمة هذه القصائد الممتازة، وعددها سبع، بسبب تنوع موضوع...

اقرأ المزيد ←

مشكلة الإنفاق المزدوج التحسيبية Double-spending problem، وسياقها في البلوكتشين

مشكلة الإنفاق المزدوج التحسيبية Double-spending problem، وسياقها في البلوكتشين. ~ 12/11/2023 لعل هذا الفيديو الوحيد الذي استطعت أن أظهر مرئيا عبره، عندي الكثير لأقوله في السياقات التحسيبية والرياضية...

اقرأ المزيد ←
《فهؤلاء المسلمون المغاربة قد نجحوا في تنمية العلوم وإنجاحها، وقاموا بتعليم إسبان...

《فهؤلاء المسلمون المغاربة قد نجحوا في تنمية العلوم وإنجاحها، وقاموا بتعليم إسبان...

《فهؤلاء المسلمون المغاربة قد نجحوا في تنمية العلوم وإنجاحها، وقاموا بتعليم إسبانيا وإيطاليا طيلة خمسة قرون. إلا أن الأوضاع تغيرت كثيرا، فبلد أوغسطينس [يقصِد المغرب العربي] اليوم ليس إلا وكرا للقراصنة،...

اقرأ المزيد ←
استنادا إلى فولتير فإن اللغة العربية من أقدم لغات العالم

《ينبغي أن تكون اللغة ا...

استنادا إلى فولتير فإن اللغة العربية من أقدم لغات العالم 《ينبغي أن تكون اللغة ا...

استنادا إلى فولتير فإن اللغة العربية من أقدم لغات العالم 《ينبغي أن تكون اللغة الأقدم المعروفة هي لغة الأمة التي تجمعت هيئةً من الناس في أقدم وقت، وينبغي، علاوة على ذلك، أن تكون لغة الشعب الذي خضع للا...

اقرأ المزيد ←
《في قرون البربرية والجهل التي مررنا بها، والتي تلت انهيار الإمبراطورية الرومانية...

《في قرون البربرية والجهل التي مررنا بها، والتي تلت انهيار الإمبراطورية الرومانية...

《في قرون البربرية والجهل التي مررنا بها، والتي تلت انهيار الإمبراطورية الرومانية، تلقينا كل شيء تقريبا من العرب: الفلك، والكيمياء، والطب، ولا سيما العلاجات الأكثر لطفا وفائدة من تلك التي عرفها اليونان...

اقرأ المزيد ←

%1 فحسب من التعداد السكاني مصاب بالفصام (شكيتزوفرينيا) Schizophrenia أما الاضط...

%1 فحسب من التعداد السكاني مصاب بالفصام (شكيتزوفرينيا) Schizophrenia أما الاضطراب الفصامي الذُّهاني Schizoaffective Disorder فمصابٌ به 0.3% فقط من التعداد السكاني فليفرح الشكيتزوفرينيون بأنهم نُدرة...

اقرأ المزيد ←

المؤلفات المجرودة -حدَّ الساعة- في كتابي 《ابن تيمية والمقولات الأرسطية》 الذي سيب...

المؤلفات المجرودة -حدَّ الساعة- في كتابي 《ابن تيمية والمقولات الأرسطية》 الذي سيبزغ عما قريب، وهو كتاب ضمن مشروع بحثي أكبر أسميته 《سليقة الأولين وقريحة المتأخرين في الرد على المنطقيين》 المراجع العربي...

اقرأ المزيد ←
أبو العلاء المعري: 
"ودنياك ليست للسرور معدة
فمن ناله من أهلها فهو سارق"

شوبنها...

أبو العلاء المعري: "ودنياك ليست للسرور معدة فمن ناله من أهلها فهو سارق" شوبنها...

أبو العلاء المعري: "ودنياك ليست للسرور معدة فمن ناله من أهلها فهو سارق" شوبنهاور: "الدنيا لا تسر إنسانا، وكل منا ينفق جهده ويمضي حياته في طلب السعادة التي لا ينالها، وإذا ظفر بها وجدها وهما من الأوه...

اقرأ المزيد ←
1) مسح في 2006 لراشدين أمريكيين توصل إلى أن 63% لم يستطيعوا أن يشيروا إلى العراق...

1) مسح في 2006 لراشدين أمريكيين توصل إلى أن 63% لم يستطيعوا أن يشيروا إلى العراق...

1) مسح في 2006 لراشدين أمريكيين توصل إلى أن 63% لم يستطيعوا أن يشيروا إلى العراق على خريطة الشرق الأوسط 2) 75% لم يتمكنوا من الاهتداء إلى إيران 3) 88% بقوا عاجزين عن تحديد موقع أفغانستان، في وقت يش...

اقرأ المزيد ←
من الصعب أن تجد فيلسوفا في السياق الغربي نِدًّا لشوبنهاور في أصالة الأسلوب وانسي...

من الصعب أن تجد فيلسوفا في السياق الغربي نِدًّا لشوبنهاور في أصالة الأسلوب وانسي...

من الصعب أن تجد فيلسوفا في السياق الغربي نِدًّا لشوبنهاور في أصالة الأسلوب وانسياب التعبير ووضوح الفكرة واتِّقاد البيان، إن من يقرأ شوبنهاور يشعر وكأن الكلام الذي على الورق قد تبدّت له أسنان ونما له ف...

اقرأ المزيد ←

ابن تيمية وابن القيم العنصران الرئيسان في نموذج IslamTAM المعلوماتي الذي اشْتُقّ...

ابن تيمية وابن القيم العنصران الرئيسان في نموذج IslamTAM المعلوماتي الذي اشْتُقَّ من فرضية Technology Acceptance Model المعلوماتية الأعمّ، وهذي ورقةٌ بحثية نموذج IslamTAM يدمج النموذج الأعم مع متغيرا...

اقرأ المزيد ←
تجنَّى من قال بأن أهل العربية يحسِّنون بيانهم ويكيِّفون أساليبهم ويبلغون البلاغة...

تجنَّى من قال بأن أهل العربية يحسِّنون بيانهم ويكيِّفون أساليبهم ويبلغون البلاغة...

تجنَّى من قال بأن أهل العربية يحسِّنون بيانهم ويكيِّفون أساليبهم ويبلغون البلاغة بقراءة الروايات، ولَعَمري فإن سلوك سبيل قراءة الروايات للتمكن اللغوي يشبه أن تعوِّدَ نفسَكَ ركوبَ الحمير لكي تحسن قيادة...

اقرأ المزيد ←
أعمل -حاليا- على تطوير إضافة متصفح Browser Extension، تقوم بإزالة الموسيقى من في...

أعمل -حاليا- على تطوير إضافة متصفح Browser Extension، تقوم بإزالة الموسيقى من في...

أعمل -حاليا- على تطوير إضافة متصفح Browser Extension، تقوم بإزالة الموسيقى من فيديوهات اليوتيوب أثناء المشاهدة real time بشكل مباشر، بحيث لا حاجة لتنزيل الفيديو أو التعديل عليه. فيديو فيه موسيقى؟ تح...

اقرأ المزيد ←
تعديل حول بوابة الدفع، لا حاجة لGumroad ولا غيره من عالم الويب التقليدي الخاضعين للاقتصاد البئيس

تعديل حول بوابة الدفع، لا حاجة لGumroad ولا غيره من عالم الويب التقليدي الخاضعين للاقتصاد البئيس

تعديل حول بوابة الدفع، لا حاجة لGumroad ولا غيره من عالم الويب التقليدي الخاضعين للاقتصاد البئيس. دمجت خاصية الدفع المباشر بالكريبتو في موقعي، وإذَنْ خفَّضت الثمن ل40$ بعد أن ارتحنا من البنوك وإجراء...

اقرأ المزيد ←
الحمد لله، أنهيت اليوم توليف وتدبيج كتابي العلمي: طرائق علم التشفير موجهةً للبلو...

الحمد لله، أنهيت اليوم توليف وتدبيج كتابي العلمي: طرائق علم التشفير موجهةً للبلو...

الحمد لله، أنهيت اليوم توليف وتدبيج كتابي العلمي: طرائق علم التشفير موجهةً للبلوكتشين: النظرية والممارسة Cryptographic Techniques for Blockchain Technology: Theory and Practice بمجموع صفحات يقارب ال...

اقرأ المزيد ←

هذه من حصائل الكتب التي أجمعها وأقرأ منها مُذْ أيام المدرسة، ومنها ما هو موجود م...

هذه من حصائل الكتب التي أجمعها وأقرأ منها مُذْ أيام المدرسة، ومنها ما هو موجود منذ أيام الصف الثامن الابتدائي، فصحيح انها pdf، لكن عاملوها برفق. هذه المجلدات تغني -جزئيا- عن خطة خارطة الطريق، وفيها ت...

اقرأ المزيد ←
"فإن فيه [أي المنطق] من القواعد السلبية الفاسدة ما راجت على كثير من الفضلاء، وكا...

"فإن فيه [أي المنطق] من القواعد السلبية الفاسدة ما راجت على كثير من الفضلاء، وكا...

"فإن فيه [أي المنطق] من القواعد السلبية الفاسدة ما راجت على كثير من الفضلاء، وكانت سبب نفاقهم، وفساد علومهم" ~ ابن تيمية، مجموع الفتاوى، المجلد الخامس: المنطق وعلم السلوك، كتاب المنطق، ص144، دار ابن ...

اقرأ المزيد ←
شوبنهاور كان يحمل مسدسا في الجامعة وأثناء المحاضرات وقتما كان طالبا، وأوشك مرة أ...

شوبنهاور كان يحمل مسدسا في الجامعة وأثناء المحاضرات وقتما كان طالبا، وأوشك مرة أ...

شوبنهاور كان يحمل مسدسا في الجامعة وأثناء المحاضرات وقتما كان طالبا، وأوشك مرة أن يقتل الفيلسوف الشهير يوهان غوتليب فيشته "ربما لم يكن شوبنهاور منتبها بشكل كافٍ للمحاضرة، ربما لم يكن في حالة مزاجية ...

اقرأ المزيد ←
دايكسترا محتقرا الطرق الحديثة في التدريس ومفضلا لوح الطباشير على شرائح البور بوي...

دايكسترا محتقرا الطرق الحديثة في التدريس ومفضلا لوح الطباشير على شرائح البور بوي...

دايكسترا محتقرا الطرق الحديثة في التدريس ومفضلا لوح الطباشير على شرائح البور بوينت: "الأدوات ليست بالضرورة تحسينا، بل العكس هو الصحيح لوح طباشير -> جهاز الإسقاط العلوي -> البور بوينت وإنني لست محتا...

اقرأ المزيد ←

أبو نؤاس راوية ويحدِّث عنه الشافعي وأحمد أخالُ القول المنسوب للإمام الشافعي "لو...

أبو نؤاس راوية ويحدِّث عنه الشافعي وأحمد أخالُ القول المنسوب للإمام الشافعي "لولا تهتك أبي نؤاس لأخذت عنه" منحولًا. ولكن أبا نؤاس روى الحديث، حتى أن الشافعي وأحمد وثلةً من العلماء حدّثوا عنه. قال ال...

اقرأ المزيد ←

تجربة تنفيذ الشبكات المعقدة Complex Networks على كتاب شوبنهاور الرئيس (ثلاثة مجل...

تجربة تنفيذ الشبكات المعقدة Complex Networks على كتاب شوبنهاور الرئيس (ثلاثة مجلدات) ورسالته للدكتوارة. استخدمت أدوات NLP في بايثون لمعالجة النصوص ومن ثم استخراج سياقات هامة عبرَ كلمات تكررت كثيرا وع...

اقرأ المزيد ←
أصدق نصيحة بالوسع تأديتها لمن قد يملِّون من الرياضيات أو لا يستلذون بها من الأسا...

أصدق نصيحة بالوسع تأديتها لمن قد يملِّون من الرياضيات أو لا يستلذون بها من الأسا...

أصدق نصيحة بالوسع تأديتها لمن قد يملِّون من الرياضيات أو لا يستلذون بها من الأساس، أنْ يقرأوا تاريخها، ومن ثَمَّ يكثفوا القراءة في تاريخها! وذي نصيحة جليلة إذ أنَّ ما فعله النظام المدرسي أو الجامعي ال...

اقرأ المزيد ←
أجدد مقال على موقعي، هنا تظهر الحاجة لموقع شبكي، فهذا المقال -وكما سيكون غيره- م...

أجدد مقال على موقعي، هنا تظهر الحاجة لموقع شبكي، فهذا المقال -وكما سيكون غيره- م...

أجدد مقال على موقعي، هنا تظهر الحاجة لموقع شبكي، فهذا المقال -وكما سيكون غيره- مليئ بالمعادلات والصِّيَغ الرياضية، التي لا يمكن كتابتها على تلغرام أو غيره المقال مليئ بالمعادلات والصياغات الرياضية، ل...

اقرأ المزيد ←

لا بد للشاب الذي يعاصر كل هذي الفوضى، التي تتأتى من التشتيت التكنولوجي، وبعثرة ا...

لا بد للشاب الذي يعاصر كل هذي الفوضى، التي تتأتى من التشتيت التكنولوجي، وبعثرة الانترنت الشبكية، أنْ ينأى بنفسه جزءًا من كل سنة عن عالم الزيف وعوالم الإرهاق الذهني والشلل الفكري، إنني أذكر جيدا سنةً ك...

اقرأ المزيد ←

بعض الناس يريد مني كتابا منشورا أو شهادة دكتوراة لكي أتحدث فيما أتحدث فيه، وأقول...

بعض الناس يريد مني كتابا منشورا أو شهادة دكتوراة لكي أتحدث فيما أتحدث فيه، وأقول لهؤلاء: أطوَلُ أصابعكم الاصبع الأوسط، ركزوا فيه جيدا؛ وأنا من عندي أقول لكم: خذوا. كثير من الشباب الغِرّ المفتون يرى أ...

اقرأ المزيد ←

إلامَ توصلت في مساق Fundamentals of Programming خلال سنتي الجامعية الأولى

إلامَ توصلت في مساق Fundamentals of Programming خلال سنتي الجامعية الأولى؟ طرح مدرِّس المساق سؤالا متعلقا بالمربعات السحرية Magic Squares، طالبا منَّا التفكير في خوارزمية لتوليد تينك المربعات، ولكنني...

اقرأ المزيد ←
نصيحة برمجية

إذا خُيِّرتَ بين تعلم ++C/C ولغة Rust، فاختر Rust من غير أن يخالطك أدنى شك

نصيحة برمجية إذا خُيِّرتَ بين تعلم ++C/C ولغة Rust، فاختر Rust من غير أن يخالطك أدنى شك

نصيحة برمجية إذا خُيِّرتَ بين تعلم ++C/C ولغة Rust، فاختر Rust من غير أن يخالطك أدنى شك. اللغات المذكورة موجهة رئيسًا لبرمجة الأنظمة Systems Programming، وقد أثبتت Rust تفوقها على سائر اللغات في ذا ا...

اقرأ المزيد ←

خطة خارطة الطريق لعلم الحاسوب، خطَطْتُها بكتب من أعمق الموجود وأجود المرصود

خطة خارطة الطريق لعلم الحاسوب، خطَطْتُها بكتب من أعمق الموجود وأجود المرصود. ليست مكتملة بعد؛ تبقى إضافة علم التحسيب النظري وبعض أشياءٍ أُخَر. لكن لا بأس بنشرها الآن، والتعديل والإضافة عليها لاحقا.

اقرأ المزيد ←

من الأسئلة التي ترددت علي كثيرا، سؤال خطة خارطة الطريق لدراسة علم الحاسوب؛ ومن ب...

من الأسئلة التي ترددت علي كثيرا، سؤال خطة خارطة الطريق لدراسة علم الحاسوب؛ ومن باب تلبية الرغبات، فإنني أعمل على إنشاء واحدة عميقة تتطرق لغالب المجالات التحسيبية، انتظروني خلال وقت قصير، ستكون على شكل...

اقرأ المزيد ←

كتب الأخ Mohamed Taqi معقبا على منشوري: <<<<<<<<<>>>>>>>>>>>> حتى باستخدام نظر...

كتب الأخ Mohamed Taqi معقبا على منشوري: <<<<<<<<<>>>>>>>>>>>> حتى باستخدام نظرة محدودة من شخص مبتدئ, يمكنك أن ترى بوضوح أن المنطق الأرسطي القديم مثلا كان جد جد ضعيف مقارنة بالأنظمة الحديثة : - الم...

اقرأ المزيد ←

ويلارد كواين: يقف المنطق الحديث على النقيض من المنطق القديم ليس فقط كتقدم كمي بل...

ويلارد كواين: يقف المنطق الحديث على النقيض من المنطق القديم ليس فقط كتقدم كمي بل كقفزة نوعية إلى الأمام في الدقة، والتحديد، والاتساع. ~ من وجهة نظر منطقية From a Logical Point of View برتراند راسل: ...

اقرأ المزيد ←
"ولم يُخلَق النساءُ للعَدْو، وهنَّ إذا ما هربْن فلكي يُدْرَكن، وليس العدْو هو ال...

"ولم يُخلَق النساءُ للعَدْو، وهنَّ إذا ما هربْن فلكي يُدْرَكن، وليس العدْو هو ال...

"ولم يُخلَق النساءُ للعَدْو، وهنَّ إذا ما هربْن فلكي يُدْرَكن، وليس العدْو هو الشيء الوحيد الذي لا يُتْقِنَّه، ولكنه الشيء الوحيد الذي يقمن به مع عدم لباقة، وذلك أن مرافقهنَّ، إذ تكون ملتصقة ببدنهنَّ ...

اقرأ المزيد ←
خبرٌ إن صحَّ، فسيكلف أمريكا الكثير، خبر جدُّ خطير

ادعت مجموعة LockBit أنها تمكن...

خبرٌ إن صحَّ، فسيكلف أمريكا الكثير، خبر جدُّ خطير ادعت مجموعة LockBit أنها تمكن...

خبرٌ إن صحَّ، فسيكلف أمريكا الكثير، خبر جدُّ خطير ادعت مجموعة LockBit أنها تمكنت من الحصول على 33 تيرابايت من بيانات النظام الاحتياطي الفيدرالي الأمريكي Federal Reserve System، وقد هددت بنشر التسريبا...

اقرأ المزيد ←
عقدتُ معي تحديًّا أن أنجز هذا الكتاب كاملا قبل طلوع الفجر على القدس، الساعة عندن...

عقدتُ معي تحديًّا أن أنجز هذا الكتاب كاملا قبل طلوع الفجر على القدس، الساعة عندن...

عقدتُ معي تحديًّا أن أنجز هذا الكتاب كاملا قبل طلوع الفجر على القدس، الساعة عندنا الآن 11:15 دقيقة، وآذان الفجر عند 03:55 قرأت لويلارد كواين سابقا بالإنجليزية، وذا أول مؤلف مترجم أقرأه له (300~ صفحة...

اقرأ المزيد ←
خلَّصت قراءة ودراسة المجلدات الثلاث الأُوَل من كتاب "مرجع المنطق الفلسفي" (1200 صفحة)

خلَّصت قراءة ودراسة المجلدات الثلاث الأُوَل من كتاب "مرجع المنطق الفلسفي" (1200 صفحة)

خلَّصت قراءة ودراسة المجلدات الثلاث الأُوَل من كتاب "مرجع المنطق الفلسفي" (1200 صفحة). يكفي المنشور إلى حد هنا صحيح؟ هذا كتاب تخصصي مليئ بالمعادلات والصِّيَغ الرياضية، لذا فإن الحديث عنه سيكون حديث شو...

اقرأ المزيد ←
أول استعمال مسجَّل في التاريخ لاستخدام التعمية أو التشفير يعود إلى العصور القديم...

أول استعمال مسجَّل في التاريخ لاستخدام التعمية أو التشفير يعود إلى العصور القديم...

أول استعمال مسجَّل في التاريخ لاستخدام التعمية أو التشفير يعود إلى العصور القديمة، متمثلا في حلق رأس العبد وكتابة رسالة معينة على الجلد، وحينما يعود الشعر للنمو، يبعث المُرسِل Sender العبد إلى المستقب...

اقرأ المزيد ←
كتبت 1485 سطرا برمجيا بعد مرور 12 ساعة كان من المفترض أن أنام خَمسًا منها، وبذا...

كتبت 1485 سطرا برمجيا بعد مرور 12 ساعة كان من المفترض أن أنام خَمسًا منها، وبذا...

كتبت 1485 سطرا برمجيا بعد مرور 12 ساعة كان من المفترض أن أنام خَمسًا منها، وبذا قد اختل برنامج النوم إذ سيتعين علي أن أظل مستيقظا إلى نهاية اليوم، وعند لحظتي هذه أكون قد جاوزت 24 ساعة من غير نوم؛ والم...

اقرأ المزيد ←

يتفاعل الناس عبر مواقع التواصل استنادا إلى مبدأ يشبه الإتاوات ومفهوم الإتاوة كثيرا

يتفاعل الناس عبر مواقع التواصل استنادا إلى مبدأ يشبه الإتاوات ومفهوم الإتاوة كثيرا. والإتاوة تعني "ادفع غصبًا عنك ولكن سنقول أنك دفعت باحترامك"؛ وهكذا، فإن نظريةً بالوسع أن تُصَاغ، على أن جُل التفاعل ...

اقرأ المزيد ←
قرأت اليوم كتاب نويمان "الحاسوب والدماغ" الذي نُشِرَ عام 1958، يقع في 100 صفحة

قرأت اليوم كتاب نويمان "الحاسوب والدماغ" الذي نُشِرَ عام 1958، يقع في 100 صفحة

قرأت اليوم كتاب نويمان "الحاسوب والدماغ" الذي نُشِرَ عام 1958، يقع في 100 صفحة. مَبحثُ الكتاب موجَّهٌ إلى المتوزايات التي تتمثل بين الحواسيب والأدمغة، إذ يغوص نحو الآليات التي تحكم عملياتهن ويُبحِر با...

اقرأ المزيد ←

قبل سنتين لقيني أحد طلاب التوجيهي طالبا نصيحة تساعده في اختيار التخصص الجامعي، و...

قبل سنتين لقيني أحد طلاب التوجيهي طالبا نصيحة تساعده في اختيار التخصص الجامعي، وملخص حديثي معه أنني نصحته بعلم الحاسوب Computer Science بدلا من تكنولوجيا المعلومات IT التي كان يفكر فيها. وقبل بضعة أيا...

اقرأ المزيد ←
1) الشنفرى -وهو في الجاهلية- ما كان يترك نشاطا لغزالٍ يدبُّ على الأرض إلا لاحقه...

1) الشنفرى -وهو في الجاهلية- ما كان يترك نشاطا لغزالٍ يدبُّ على الأرض إلا لاحقه...

1) الشنفرى -وهو في الجاهلية- ما كان يترك نشاطا لغزالٍ يدبُّ على الأرض إلا لاحقه عَدْوًا جنونيا وذبحه فأكله، ووقتها لم يكن هنالك كاميرات ولا هواتف ذكية ولا انترنت. فأنت الآن في عصر عبادة الانترنت وتسأل...

اقرأ المزيد ←

المافيَوِية الأمريكية وجريانها على العلوم

المافيَوِية الأمريكية وجريانها على العلوم! والرياضياتيون الروس، حمير. يحكي فلاديمير أرنولد -وحش من وحوش رياضياتيي القرن العشرين- أن كلمة "الأنتجلينسيا" الروسية ليس لها مرادف في أي لغة أخرى، والتي تعن...

اقرأ المزيد ←

"قال القرشي: وامتحنت الخوارج شيعيا، فقال: أنا من عليٍّ ومن عثمانَ بريء²

"قال القرشي: وامتحنت الخوارج شيعيا، فقال: أنا من عليٍّ ومن عثمانَ بريء²." (2) يكون بقوله هذا بريء من عثمان، وتولَّى عليًّا، وتخلّص من الخوارج بإيهامهم أنه بريء من الاثنين ~ أخبار الظراف والمتماجنين،...

اقرأ المزيد ←
فتحت هذا الكتاب لأقرأه للمرة الثالثة، ووجدت الوقت مناسبا لترشيحه واحدًا من أحسن...

فتحت هذا الكتاب لأقرأه للمرة الثالثة، ووجدت الوقت مناسبا لترشيحه واحدًا من أحسن...

فتحت هذا الكتاب لأقرأه للمرة الثالثة، ووجدت الوقت مناسبا لترشيحه واحدًا من أحسن الكتب التي قد يُبدَأُ بها لدراسة البلوكتشين؛ أساس نظري جدُّ متين، وصرامة رياضية، واتصال مع الشغل التطبيقي. ومن ميزاته ا...

اقرأ المزيد ←
ترك بيتهوفن في طفولته انطباعا سيئا لدى أساتذته الموسيقاريين، إلى حد أنْ اشْتُهِر...

ترك بيتهوفن في طفولته انطباعا سيئا لدى أساتذته الموسيقاريين، إلى حد أنْ اشْتُهِر...

ترك بيتهوفن في طفولته انطباعا سيئا لدى أساتذته الموسيقاريين، إلى حد أنْ اشْتُهِرَ بأنه من الميؤوسِ منهم موسيقيًّا، وأنه لا يصلح كمؤلف موسيقي، حتى أن هايدن Hayden، الذي علَّم بيتهوفن التناغم لبعض الوقت...

اقرأ المزيد ←

( إن جزءًا كبيرًا من الرياضيات التي تصبح مفيدة فيما بعد، قد تطورت دون أي رغبة في...

( إن جزءًا كبيرًا من الرياضيات التي تصبح مفيدة فيما بعد، قد تطورت دون أي رغبة في أن تكون مفيدة، وفي وضع لا يمكن لأحد أن يعرف في أي مجال ستصبح مفيدة؛ ولم تكن هناك مؤشرات عامة على أنها ستكون كذلك. وبصفة...

اقرأ المزيد ←

مِن الأذى الذهني ما قتل أذكر جيدا، عند بدايات تحمُّسي المعرفي واندفاعي العلمي -...

مِن الأذى الذهني ما قتل أذكر جيدا، عند بدايات تحمُّسي المعرفي واندفاعي العلمي -قبل سنوات خَلَتْ- أنني ما كنت أترك حشرةً تمر بجانبي، ولا طائرا يحلِّق فوقي، إلا ولاحظتُ من شدة التركيز أدقَّ تفاصيل الحش...

اقرأ المزيد ←
بعد انقضاء زمن طويل على انتهائي من سلسلة مرجع تاريخ المنطق Handbook on the Histo...

بعد انقضاء زمن طويل على انتهائي من سلسلة مرجع تاريخ المنطق Handbook on the Histo...

بعد انقضاء زمن طويل على انتهائي من سلسلة مرجع تاريخ المنطق Handbook on the History of Logic، والتي بلغت 9000 صفحة، فإنني قد وقعت على تحفة فنية أخرى. ففي الصورة سلسلة مرجع المنطق الفلسفي Handbook of Ph...

اقرأ المزيد ←
توصل غيرارد غينتزن إلى إثبات اتساقية Consistency مسلمات بيانو Peano Axioms عام 1...

توصل غيرارد غينتزن إلى إثبات اتساقية Consistency مسلمات بيانو Peano Axioms عام 1...

توصل غيرارد غينتزن إلى إثبات اتساقية Consistency مسلمات بيانو Peano Axioms عام 1936، عند عمر 27 سنة، وشغله الباقي في المنطق والرياضيات أعظم وأعظم جزء ضخم مما نصفه بالمنطق الرياضي الحديث تتم محاكمته إ...

اقرأ المزيد ←

صحيح أن الناس يجتمعون أكثرَ ما يجتمعون على مصلحة، أيًّا تكن طبيعتها، إلا أن المص...

صحيح أن الناس يجتمعون أكثرَ ما يجتمعون على مصلحة، أيًّا تكن طبيعتها، إلا أن المصالح تفرِّقهم على شاكلة أشد وأرذل من التي يجتمعون عليها، فإنْ كانت الصحبة تتأتى لأن اثنين وجدَا اشتراكات بينهما؛ الاشتراك...

اقرأ المزيد ←
"لا عبرة لاستراتيجيتك إذا كان قلبك يميل لاستخدام السيف الطويل حينما تُدعَى للقتا...

"لا عبرة لاستراتيجيتك إذا كان قلبك يميل لاستخدام السيف الطويل حينما تُدعَى للقتا...

"لا عبرة لاستراتيجيتك إذا كان قلبك يميل لاستخدام السيف الطويل حينما تُدعَى للقتال في مكان ضيِّق، أو إذا كنت في منزل لا تتسلح فيه إلا بسيف رفيقك، كذلك، فإن بعض الرجال لا يمكلون من القوة ما يملكه الآخرو...

اقرأ المزيد ←
لم يُتَحْ لي من الوقت كافيًا لإنجازه مكتملا بعد؛ لانشغالي بأعمال حياتية وبالتحسي...

لم يُتَحْ لي من الوقت كافيًا لإنجازه مكتملا بعد؛ لانشغالي بأعمال حياتية وبالتحسي...

لم يُتَحْ لي من الوقت كافيًا لإنجازه مكتملا بعد؛ لانشغالي بأعمال حياتية وبالتحسيب، ولأنني في السنة الجامعية الأخيرة؛ ومشروع تخرجي يتطلب جهدا وسيعا. رَ، مبحثُ الكتاب شديد الاتساع عميق التغطية، فيه يقع...

اقرأ المزيد ←
تفضلوا:

"لا يوجد دليل على أن المنطق الصوري متطلب سابق للتعلم، أو الفهم، أو التح...

تفضلوا: "لا يوجد دليل على أن المنطق الصوري متطلب سابق للتعلم، أو الفهم، أو التح...

تفضلوا: "لا يوجد دليل على أن المنطق الصوري متطلب سابق للتعلم، أو الفهم، أو التحدث بلغة طبيعية" ~ عالم التحسيب الأمريكي جون سُوَا، المنطق والأنطولوجيا والقياس، 2008 "المنطق اليوناني لا يحتاج إليه ال...

اقرأ المزيد ←

عموم التجار يريد أن يبيعك فحسب، ليس مهتما بما تستفيده منه، فإنْ باعك طعاما ما أق...

عموم التجار يريد أن يبيعك فحسب، ليس مهتما بما تستفيده منه، فإنْ باعك طعاما ما أقلقته صحتك، وإنْ باعك دواءً ما اهتم لشفائك، وإن باعك لباسا ما اهتم لسترك، بقدر ما يهتم لاستفادته المالية، والتجارة تعتمد ...

اقرأ المزيد ←
قد أفسد الانترنت حياة الناس بحق، وأفسد أذهانهم، إنك تلقى الرجل لُقيا حميمة وتخال...

قد أفسد الانترنت حياة الناس بحق، وأفسد أذهانهم، إنك تلقى الرجل لُقيا حميمة وتخال...

قد أفسد الانترنت حياة الناس بحق، وأفسد أذهانهم، إنك تلقى الرجل لُقيا حميمة وتخالطه مُكثِرًا وتحتك به، ثم إذا بك تُدهَش بأشياء لم تتخيل يوما أنك ستعرفها عنه، ولكن الانترنت مسخ الاجتماعيات مسخا، وأصبحت ...

اقرأ المزيد ←
"وهكذا، أصبح الموضوع -في أمريكا خصيصا- يُعرَف ب[علم الحاسوب]، الأمر الذي يشبه إل...

"وهكذا، أصبح الموضوع -في أمريكا خصيصا- يُعرَف ب[علم الحاسوب]، الأمر الذي يشبه إل...

"وهكذا، أصبح الموضوع -في أمريكا خصيصا- يُعرَف ب[علم الحاسوب]، الأمر الذي يشبه إلى حدٍّ بعيد تسمية الجراحة بِ[علم السكاكين]، وقد أُدخِلَ في عقول الناس رسميا أن علوم التحسيب Computing Science مبحثُها ال...

اقرأ المزيد ←
كتبت كودًا برمجيا من بضعة مئات السطور، ليجري تحليلا لقصيدة المهلهل "قربا مربط المشهر مني"

كتبت كودًا برمجيا من بضعة مئات السطور، ليجري تحليلا لقصيدة المهلهل "قربا مربط المشهر مني"

كتبت كودًا برمجيا من بضعة مئات السطور، ليجري تحليلا لقصيدة المهلهل "قربا مربط المشهر مني". والنتيجة كما ترون أمامكم! ما أعذب الشعر العربي! حتى حينما نحلله برمجيا ورياضيا يظهر نتائج بديعة الذي فعلته؛ ...

اقرأ المزيد ←

إنني أدفع من بصري وعُمْر عيوني ثمنا لقاءَ هوسي بعلوم التحسيب، الشيء الذي يستلزم...

إنني أدفع من بصري وعُمْر عيوني ثمنا لقاءَ هوسي بعلوم التحسيب، الشيء الذي يستلزم ساعات طويلة أمام الشاشات. أقضي 18 ساعة يوميا أمام الحواسيب. أشعر أنه تعيَّن علي أن أكون مزارعا، فإني لا أستسيغ دخولي مج...

اقرأ المزيد ←

الاستفادة من ابن تيمية في علم الحاسوب وبعض إطارات الذكاء الاصطناعي، تعني أن خطبً...

الاستفادة من ابن تيمية في علم الحاسوب وبعض إطارات الذكاء الاصطناعي، تعني أن خطبًا ما قد أصاب جماعة تحريم المنطق أو تجريم الاشتغال به. قضية ديالكتيكية هيِّنة: الرجل أثَّر في خصوصيات حاسوبية معيَّنة، وه...

اقرأ المزيد ←

العاجزون عن فهم المنطق الأرسطي، سيعجزون عن هضم نقد ابن تيمية عليه، وإذن النتيجة...

العاجزون عن فهم المنطق الأرسطي، سيعجزون عن هضم نقد ابن تيمية عليه، وإذن النتيجة تسفيه أرسطو من غير استيعاب، واستهجان المنطق الحديث والرياضي من غير أدنى تفكُّر. ولكن الدنيا ليست بهذي الضحالة، والمسائل ...

اقرأ المزيد ←
يظهر في الصورة محمد عودة "أبو داوود" -أحد قيادات عملية ميونخ 1972 التي قُتِل فيه...

يظهر في الصورة محمد عودة "أبو داوود" -أحد قيادات عملية ميونخ 1972 التي قُتِل فيه...

يظهر في الصورة محمد عودة "أبو داوود" -أحد قيادات عملية ميونخ 1972 التي قُتِل فيها 11 إسرائيليا- وهو ينهض من محاولة اغتيال أُصيبَ فيها بسبع طلقات داخل فندق في وارسو عام 1981؛ وظل ينزف ساعتين إلى أن وصل...

اقرأ المزيد ←
مضت على وفاة شوبنهاور مئة وستون سنة (1788 - 1860)، وقد عايش زمن الفيزياء الكلاسي...

مضت على وفاة شوبنهاور مئة وستون سنة (1788 - 1860)، وقد عايش زمن الفيزياء الكلاسي...

مضت على وفاة شوبنهاور مئة وستون سنة (1788 - 1860)، وقد عايش زمن الفيزياء الكلاسيكية، ولم يلحق الثورة العلمية في القرن الأخير، لتأتي اليوم دوائر فيزياء جامعية تبحث رُؤَى الرجل وإنجازاته بعدسات الفيزياء...

اقرأ المزيد ←
"ويندرج تحت الشهرة العاجلة سريعة الانتشار الشهرة الزائفة المصطنعة، كتلك التي تُك...

"ويندرج تحت الشهرة العاجلة سريعة الانتشار الشهرة الزائفة المصطنعة، كتلك التي تُك...

"ويندرج تحت الشهرة العاجلة سريعة الانتشار الشهرة الزائفة المصطنعة، كتلك التي تُكتسَب عندما يُدفع كاتب ما إلى الشهرة دفعا باستخدام التقريظ الكاذب، والنقد المغرض، ومساعدة الأصدقاء، عن طريق الترغيب من أع...

اقرأ المزيد ←
بعد انقطاع طويل نسبيا عن عوالم الرياضيات، نسلِّي الذهن ونروِّض الملَكَة ونسترجع...

بعد انقطاع طويل نسبيا عن عوالم الرياضيات، نسلِّي الذهن ونروِّض الملَكَة ونسترجع...

بعد انقطاع طويل نسبيا عن عوالم الرياضيات، نسلِّي الذهن ونروِّض الملَكَة ونسترجع اللياقة بهذا الكتاب ذي الخمس مجلدات؛ من الدوافع التي جعلتني أقفز لقراءته أنه من تأليف فلاديمير سميرنوف في الحقبة السوفيي...

اقرأ المزيد ←
يقول آينشتاين واصفا تأثير شوبنهاور عليه:

"ساعدتنا كتابات شوبنهاور المدهشة في كش...

يقول آينشتاين واصفا تأثير شوبنهاور عليه: "ساعدتنا كتابات شوبنهاور المدهشة في كش...

يقول آينشتاين واصفا تأثير شوبنهاور عليه: "ساعدتنا كتابات شوبنهاور المدهشة في كشف النقاب عن معطيات الكون"¹ 1. Reading Schopenhauer in the Light of Present-Day Science, Georges Teutsch, University of ...

اقرأ المزيد ←
زار عالم التحسيب الأمريكي ريتشارد ستولمن، ومؤسس مشروع غنو/لينكس Gnu/Linux، جامعة...

زار عالم التحسيب الأمريكي ريتشارد ستولمن، ومؤسس مشروع غنو/لينكس Gnu/Linux، جامعة...

زار عالم التحسيب الأمريكي ريتشارد ستولمن، ومؤسس مشروع غنو/لينكس Gnu/Linux، جامعة بيرزيت في فلسطين بناءً على دعوة قدمها الطلبة له، وقد كانت رسوم طيرانه على حسابهم. فلمَّا انتهى من إلقاء ما ألقى هناك، ف...

اقرأ المزيد ←
ما لا يعرفه أغلب من يعرفون الخليل بن أحمد الفراهيدي -واضع علم العروض- أنه أول من...

ما لا يعرفه أغلب من يعرفون الخليل بن أحمد الفراهيدي -واضع علم العروض- أنه أول من...

ما لا يعرفه أغلب من يعرفون الخليل بن أحمد الفراهيدي -واضع علم العروض- أنه أول من توصل -في التاريخ- إلى عمل رصين ومتسق حول علم التشفير Cryptography، وأنه أول لغوي يكتب كتابا في علم التشفير وتحليل التعم...

اقرأ المزيد ←
بين أبي العلاء وشوبنهاور:

على أُمّ دَفْرٍ غَضْبَةُ اللّهِ انّها
لأجْدَرُ أُنْثَ...

بين أبي العلاء وشوبنهاور: على أُمّ دَفْرٍ غَضْبَةُ اللّهِ انّها لأجْدَرُ أُنْثَ...

بين أبي العلاء وشوبنهاور: على أُمّ دَفْرٍ غَضْبَةُ اللّهِ انّها لأجْدَرُ أُنْثَى أنْ تَخونَ وأن تُخني زمانَ تَوَلّتْ وأدَ حَوّاءَ بِنتِها وكم وأدَتْ في إثْرِ حَوّاء مِن قَرْنِ وَجَدْنا أذى الدّنيا ...

اقرأ المزيد ←
الراجل هذا يصدقه جموع من الحمقى المغفلين، وهو طاير فيهم من الفرحة، من جد عقله يك...

الراجل هذا يصدقه جموع من الحمقى المغفلين، وهو طاير فيهم من الفرحة، من جد عقله يك...

الراجل هذا يصدقه جموع من الحمقى المغفلين، وهو طاير فيهم من الفرحة، من جد عقله يكذب كذبة بهذه البجاحة والوقاحة، على أساس أن التيكتوك عبارة عن مجمع خضروات وفواكه لكي يعطوك وكالة😞

اقرأ المزيد ←
((  الشيء الوحيد الذي يجعل حياة الرياضياتي تستحق العيش، هو أنه يحظى بالإعجاب على...

(( الشيء الوحيد الذي يجعل حياة الرياضياتي تستحق العيش، هو أنه يحظى بالإعجاب على...

(( الشيء الوحيد الذي يجعل حياة الرياضياتي تستحق العيش، هو أنه يحظى بالإعجاب على مضض من ثلاثة أو أربعة زملاء. )) - دونالد كنوث، صحيفة دكتور دوب، مقابلة مع دونالد كنوث(4/1996).

اقرأ المزيد ←
كتاب جون فون نويمان وأوسكار مورغينستيرن في الصورة التي ترونها سعره 15 ألف دولار�...

كتاب جون فون نويمان وأوسكار مورغينستيرن في الصورة التي ترونها سعره 15 ألف دولار�...

كتاب جون فون نويمان وأوسكار مورغينستيرن في الصورة التي ترونها سعره 15 ألف دولار😃 والسبب هيِّن، أولا أنه من بقايا الكتب النادرة على وقت مشروع مانهاتن، وهو من الطبعات الأولى للكتاب التي يزيد عمرها على...

اقرأ المزيد ←
لست أفلاطونيا ولا أرسطيا، ولا أنا في هذا المنشور أبديت تعليقا على المنطق، ولم أق...

لست أفلاطونيا ولا أرسطيا، ولا أنا في هذا المنشور أبديت تعليقا على المنطق، ولم أق...

لست أفلاطونيا ولا أرسطيا، ولا أنا في هذا المنشور أبديت تعليقا على المنطق، ولم أقل رأيا بخصوص نظرية التطور، فيأتيني مَن رؤوسهم مربعة، واستيعابهم مثلث، ليروا بأن المنشور استهزاء بالعلم الشرعي وإعجاب بال...

اقرأ المزيد ←

في العالم القديم: أفلاطون وأرسطو، تأسيس المنطق، تأسيس الجدل، تقعيد السياسة والأخ...

في العالم القديم: أفلاطون وأرسطو، تأسيس المنطق، تأسيس الجدل، تقعيد السياسة والأخلاق في أوروبا: كانط وشوبنهاور، نسف دعامات المنطق، شحذ التجريبيات، والتأثير في العلوم في الانترنت وعندنا: طالب علم، طوي...

اقرأ المزيد ←
عند الوقت الذي توفرت فيه معالجات النصوص الحاسوبية Word Processors، وتوفُّر أدوات...

عند الوقت الذي توفرت فيه معالجات النصوص الحاسوبية Word Processors، وتوفُّر أدوات...

عند الوقت الذي توفرت فيه معالجات النصوص الحاسوبية Word Processors، وتوفُّر أدوات عملاقة مثل LaTeX، كان أيدسكر دايكسترا -ألمعُ ألمعيي علماء التحسيب- يكتب أوراقه البحثية بالورقة والقلم ويرسلها مصورة كما...

اقرأ المزيد ←
فلاسفة العصر الماديين يرون بأن الذكاء الاصطناعي الضعيف (الأدواتيّ) سيصل مرحلة ال...

فلاسفة العصر الماديين يرون بأن الذكاء الاصطناعي الضعيف (الأدواتيّ) سيصل مرحلة ال...

فلاسفة العصر الماديين يرون بأن الذكاء الاصطناعي الضعيف (الأدواتيّ) سيصل مرحلة الوعي، ويتحقق بذلك الذكاء الاصطناعي القوي [دانييال ديننيت، ديفيد تشارلمز] جون سيرل يرى بوجود الذكاء الاصطناعي الضعيف (ال...

اقرأ المزيد ←

الذكاء الاصطناعي سيأكل الدنيا وما فيها، الروبوتات ستحل محل البشر، الوظائف ستنقرض

الذكاء الاصطناعي سيأكل الدنيا وما فيها، الروبوتات ستحل محل البشر، الوظائف ستنقرض. ادعاءات يطلقها إنسان، إذا أغلق أنفه دقائق معدودات يموت، إذا لم يشرب أو يتغذى بضعة أيام يموت، إنسان ولا أسهل من كسر ر...

اقرأ المزيد ←
سي زد CZ، أكبر رجالات الكريبتو في العالم، ومؤسس بورصة التشفير الأضخم Binance، وا...

سي زد CZ، أكبر رجالات الكريبتو في العالم، ومؤسس بورصة التشفير الأضخم Binance، وا...

سي زد CZ، أكبر رجالات الكريبتو في العالم، ومؤسس بورصة التشفير الأضخم Binance، والرجل الذي أسقط بورصة التشفير الأمريكية FTX، ونجح في التسبب بسجن مؤسسها سام بانكمان فريد Sam Bankman-Fried، يقضي أربعة شه...

اقرأ المزيد ←
دماغ مصابِي الشكيتزوفرينيا يتفحم مع مرور الزمن، وأبرز معالِم الدمار هي الخسارة ا...

دماغ مصابِي الشكيتزوفرينيا يتفحم مع مرور الزمن، وأبرز معالِم الدمار هي الخسارة ا...

دماغ مصابِي الشكيتزوفرينيا يتفحم مع مرور الزمن، وأبرز معالِم الدمار هي الخسارة الضخمة في المادة الرمادية بالوسع أن يُوصَف هذا بالدمار، أما انفضاض حبيبة عن حبيب، أو خسارة الثروة، أو الفشل في دراسة أو ...

اقرأ المزيد ←
لتقريب سخافة وضحالة معنى التصدُّر على فضاء الانترنت
نقل الشاعر الألماني المجيد ه...

لتقريب سخافة وضحالة معنى التصدُّر على فضاء الانترنت نقل الشاعر الألماني المجيد ه...

لتقريب سخافة وضحالة معنى التصدُّر على فضاء الانترنت نقل الشاعر الألماني المجيد هاينرش هاينة في كتابه [تاريخ الدين والفلسفة في ألمانيا] 1834: "حينما كان هيغل على فراش الموت قال: رجلٌ واحد فحسب استطاع ...

اقرأ المزيد ←
تعوَّد أعمق منطقيي القرن العشرين -كارت غودل- على أن يأكل مما تحضِّر زوجته فحسب،...

تعوَّد أعمق منطقيي القرن العشرين -كارت غودل- على أن يأكل مما تحضِّر زوجته فحسب،...

تعوَّد أعمق منطقيي القرن العشرين -كارت غودل- على أن يأكل مما تحضِّر زوجته فحسب، فقد طوَّر إثرَ اضطراب ذهني خوفًا هوَسيًّا من أن يُسَمَّم، إلا أن زوجته نزلت المستشفى في أواخر عام 1977، وأثناء غيابها رف...

اقرأ المزيد ←

يدرُج على ألسنة عموم الناس أن العبرة بالخواتيم، وأن أحدًا لا يهمه الكدح والترح ب...

يدرُج على ألسنة عموم الناس أن العبرة بالخواتيم، وأن أحدًا لا يهمه الكدح والترح بل ينظر إلى الإنجاز والفعل الفيصل، إن تينك النظرات التحقيرية للإنجاز البشري، تعتمل على أساس بَخْس، وكأننا نسدد فاتورة هات...

اقرأ المزيد ←
أدَّت الأدوات التي قدَّمها ناش إلى ظهور نظريات قوية جديدة (Convex Integral، Nash...

أدَّت الأدوات التي قدَّمها ناش إلى ظهور نظريات قوية جديدة (Convex Integral، Nash...

أدَّت الأدوات التي قدَّمها ناش إلى ظهور نظريات قوية جديدة (Convex Integral، Nash-Moser scheme) والتي سمحت فيما بعد بمهاجمة العديد من المشاكل الرياضية. ~ سيدريك فيلاني، 2/11/2016، النظريات الاستثنائية...

اقرأ المزيد ←

أبشع نواتج الانترنت وأفسَدُ مرتبطاته أنه يرسم صورًا غير واقعية البتة عن الناس وح...

أبشع نواتج الانترنت وأفسَدُ مرتبطاته أنه يرسم صورًا غير واقعية البتة عن الناس وحيواتهم، ويُضاف إلى هذا الوهم إطلاقهم أحكاما بعضهم على بعض، إن المرء يعاشر صديقا أو يسامر رفيقا سنوات طوال، وتفاجئه خصال ...

اقرأ المزيد ←
أندرو تيت حصَّل -وباعترافه الشخصي- شرارة ثروته عبر شبكة عملاقة من الفتيات اللائي...

أندرو تيت حصَّل -وباعترافه الشخصي- شرارة ثروته عبر شبكة عملاقة من الفتيات اللائي...

أندرو تيت حصَّل -وباعترافه الشخصي- شرارة ثروته عبر شبكة عملاقة من الفتيات اللائي كُنَّ يشتغلن في مجال "ترفيه البالغين"، المندرج تحت تجارة الكاميرات Webcam Business، وكانت الفئةُ المستهدفة الشبابَ الجا...

اقرأ المزيد ←
بودكاست ياسر الحزيمي عن العلاقات، حسب تحليل ytlarge أدخل مردودا قد يتمثل في أي ر...

بودكاست ياسر الحزيمي عن العلاقات، حسب تحليل ytlarge أدخل مردودا قد يتمثل في أي ر...

بودكاست ياسر الحزيمي عن العلاقات، حسب تحليل ytlarge أدخل مردودا قد يتمثل في أي رقم بين 50 ألف دولار و2 مليون دولار بيد أن تحليل VIEWSTATS كان -حسب الظاهر في الصورة- أكثر صرامةً وتوقع أن متوسط الأربا...

اقرأ المزيد ←

لو دخل رياضياتي وعضو مافيا صالة قمار، فإن الغلبة ستكون بكل تأكيد من نصيب الرياضي...

لو دخل رياضياتي وعضو مافيا صالة قمار، فإن الغلبة ستكون بكل تأكيد من نصيب الرياضياتي الكتاب في الصورة من تأليف غيرولاما كاردانو، وهو رياضياتي بارع من أعظم رياضيي القرن السادس عشر، كانت حياته المالية م...

اقرأ المزيد ←

تركت دراسة طب الأسنان قبل أربع سنوات وتحولت إلى علم الحاسوب، وأحد الأقرباء -رجل...

تركت دراسة طب الأسنان قبل أربع سنوات وتحولت إلى علم الحاسوب، وأحد الأقرباء -رجل خَمسينيّ متعلم- كلما لقيَني من وقتها وإلى اليوم لا ينفك يزعجني بسخافاته عن خطئي حينما تركت ذلك التخصص؛ "كيف ستؤثر في ال...

اقرأ المزيد ←

مرَّت علي سنوات أغلقت على نفسي فيها أبواب سكني، وكنت أتقي أن أجيب نداء أهل بيتي...

مرَّت علي سنوات أغلقت على نفسي فيها أبواب سكني، وكنت أتقي أن أجيب نداء أهل بيتي وأعتزل مجالسهم، فيأتيني من يرسل رسالةً ولا أرد أو يتصل فلا أجيب، فيأخذ في إرسال أحكامه علي وسحب أوهامه إلي. لو استطعت اع...

اقرأ المزيد ←
عند عام 1596، كان مياموتو موساتشي في الثالثة عشرة من عمره، وقام أريما كيهي الذي...

عند عام 1596، كان مياموتو موساتشي في الثالثة عشرة من عمره، وقام أريما كيهي الذي...

عند عام 1596، كان مياموتو موساتشي في الثالثة عشرة من عمره، وقام أريما كيهي الذي كان يسافر لشحذ فنونه القتالية بنشر تحدٍ عام في هيرافوكو-مورا. أدرج موساتشي اسمه في التحدي، وجاء رسول إلى معبد دورين حيث ...

اقرأ المزيد ←
إن كتاب الحلقات الخمس لمقاتل الساموراي الياباني مياموتو موساتشي يبلغ حدا من العب...

إن كتاب الحلقات الخمس لمقاتل الساموراي الياباني مياموتو موساتشي يبلغ حدا من العب...

إن كتاب الحلقات الخمس لمقاتل الساموراي الياباني مياموتو موساتشي يبلغ حدا من العبقرية بحيث أعدُّه واحدا من أعمق المكتوب في التاريخ حول الحرب والاستراتيجية والتكتيك، وفضلا عن ذلك فهو كتاب تنمية نفسية وت...

اقرأ المزيد ←
صورة تبيِّن الفرق بين أدمغة أشخاص طبيعيين، وبين أدمغة المصابين بالفِصام، إذ تتعر...

صورة تبيِّن الفرق بين أدمغة أشخاص طبيعيين، وبين أدمغة المصابين بالفِصام، إذ تتعر...

صورة تبيِّن الفرق بين أدمغة أشخاص طبيعيين، وبين أدمغة المصابين بالفِصام، إذ تتعرض الأخيرة لارتفاع في الخلايا الدبقية الصغيرة، والتي تحاول إجراء مناعة ضد الدمار الذي يحصل لمناطق معينة إثر المرض

اقرأ المزيد ←

رجل يتعب شهورا طويلة في الكريبتو، يخدم الناس بالتصريف لهم سحبا وإيداعا، ثم في غم...

رجل يتعب شهورا طويلة في الكريبتو، يخدم الناس بالتصريف لهم سحبا وإيداعا، ثم في غمضة عين تدهمه قوات الاحتلال وتدمر ممتلكاته وتسطو على ماله، هذا ليس احتلالا فحسب، بل مافيا مدجنة، اعتقلتم الرجل، لكن ما شأ...

اقرأ المزيد ←
الرياضياتي الملياردير جيمس سايمونز، وأقوى مدراء صناديق التحوط Hedge Funds في الع...

الرياضياتي الملياردير جيمس سايمونز، وأقوى مدراء صناديق التحوط Hedge Funds في الع...

الرياضياتي الملياردير جيمس سايمونز، وأقوى مدراء صناديق التحوط Hedge Funds في العالم، الرجل الذي سخَّر الرياضيات للسيطرة على عشوائية الأسواق المالية، يغادرنا ميتا قبل ساعة عن عمر ناهز ال86 عاما، كانت ل...

اقرأ المزيد ←

[1] تبيانٌ عبر نظرية النمط(Type Theory) لدحض ابن تيمية مسألةً عند خصمٍ، وبيانُه...

[1] تبيانٌ عبر نظرية النمط(Type Theory) لدحض ابن تيمية مسألةً عند خصمٍ، وبيانُه الاضطرابَ فيها يقول ابن تيمية: "وأظهرها خطأ دعواهم أن «التصورات»‏ المطلوبة لا تحصل إلا بما ذكروه من «الحد».‏ ثم مجرد «...

اقرأ المزيد ←

سكان القدس وعرب ال48 مفتوحة لهم أبواب الضفة الغربية على مصراعيها، الشوارع والمطا...

سكان القدس وعرب ال48 مفتوحة لهم أبواب الضفة الغربية على مصراعيها، الشوارع والمطاعم والجامعات، ويشترون الأراضي والعقارات ويسكنون ويدرسون، لكن لو فكر واحد منهم بنذالة وخسة وتقدم بشكوى على قضية معينة -أي...

اقرأ المزيد ←
إنني نادرا جدا ما أهتم بالتطبيقات، تهمني أكثر أناقة المشكلة، هل هي مشكلة جيدة

إنني نادرا جدا ما أهتم بالتطبيقات، تهمني أكثر أناقة المشكلة، هل هي مشكلة جيدة

إنني نادرا جدا ما أهتم بالتطبيقات، تهمني أكثر أناقة المشكلة، هل هي مشكلة جيدة؟ مشكلة مثيرة؟ ~ كلود شانون، أبو نظرية المعلومات ومن الآباء المؤسسين لعلم التشفير الحديث

اقرأ المزيد ←
إِنَّ لِلَّهِ عَلَينا نِعَماً ●●●● وَلِأَيدينا عَلى الناسِ نِعَم
فَلَنا الفَضلُ...

إِنَّ لِلَّهِ عَلَينا نِعَماً ●●●● وَلِأَيدينا عَلى الناسِ نِعَم فَلَنا الفَضلُ...

إِنَّ لِلَّهِ عَلَينا نِعَماً ●●●● وَلِأَيدينا عَلى الناسِ نِعَم فَلَنا الفَضلُ عَلَيهِم بِالَّذي ●●●● صَنَعَ اللَهُ فَمَن شاءَ رَغَم دونَنا في الناسِ مَسعىً واسِعٌ ●●●● لا يُدانينا وَفي الناسِ كَرَم ...

اقرأ المزيد ←

الصادق لا يؤلف قصة طويلة من منشورين، كل منشور 20 سطرا، فيتورط بسببهما، ثم يحذفهم...

الصادق لا يؤلف قصة طويلة من منشورين، كل منشور 20 سطرا، فيتورط بسببهما، ثم يحذفهما، وبعدها ينشر عن طرائق كشف الكذب. الصادق أذكى من هذا، ولكن حينما تكذب فأنت مضطر أن تواصل سلسلة مستمرة من الأكاذيب معدو...

اقرأ المزيد ←

أن تكتب جريدة طويلة من منشورين مليئين بالتهم الزائفة والكذب اللعين، تتهم فيهما أ...

أن تكتب جريدة طويلة من منشورين مليئين بالتهم الزائفة والكذب اللعين، تتهم فيهما أحدا بالنصب والاحتيال، ثم تنتبه للخلل في الحبكة التي ألَّفتها، ويواجهك خصمك بالأدلة الفتَّاكة التي ضربت سمعتك وكشفت أكاذي...

اقرأ المزيد ←
ألقى مهندس زراعي شهير يُدعى ليسينكو (مؤسس الداروينية الإبداعية Creative Darwinis...

ألقى مهندس زراعي شهير يُدعى ليسينكو (مؤسس الداروينية الإبداعية Creative Darwinis...

ألقى مهندس زراعي شهير يُدعى ليسينكو (مؤسس الداروينية الإبداعية Creative Darwinism)، وقد كان سيء السمعة، محاضرةً عن وراثة الصفات المكتسبة، في حضور الفيزيائي السوفييتي الشهير ليڤ لانداو، وحينما انتهى، س...

اقرأ المزيد ←

حينما تعود للتصعيد، وتعدِّل على منشورك ألف مرة، وتغيِّر القصة كل دقيقتين، ولكنك...

حينما تعود للتصعيد، وتعدِّل على منشورك ألف مرة، وتغيِّر القصة كل دقيقتين، ولكنك تنسى أنك أنت من طلب تخفيف التصعيد، فهاهنا أنت واقع في مشكلة مزاجية قد تكلفك كثيرا سواء اليوم أو بعد سنة. أنا رجل ليس عن...

اقرأ المزيد ←

أحد الشباب أحب أن يمزح و"يخفف دم" فأرسل لصديق حوالة بنكية بمبلغ كبير نسبيا، وكتب...

أحد الشباب أحب أن يمزح و"يخفف دم" فأرسل لصديق حوالة بنكية بمبلغ كبير نسبيا، وكتب في ملاحظات الإرسال "سلِّم تستلم" من باب الفكاهة فحسب. صباح اليوم الثاني اتصل به ضابط مخابرات يحقق عما إذا كان يغسل أمو...

اقرأ المزيد ←

هنالك اتفاق ملحوظ بين مدَّعِي ريادة الأعمال وبائعي الوهم للشباب تحت مسمى "القياد...

هنالك اتفاق ملحوظ بين مدَّعِي ريادة الأعمال وبائعي الوهم للشباب تحت مسمى "القيادة" و"التمكين" على أن 1) يلبسوا بَدلة وكأن أيامهم كلها أعراس و2) يبستموا ابتسامة عريضة وكأن السعادة عندهم قابلة للتوزيع ع...

اقرأ المزيد ←

يستعيض الناس عن عجزهم وقصر حوائلهم وقلة أفهامهم بالسرَاعة في الحكم على غيرهم، فك...

يستعيض الناس عن عجزهم وقصر حوائلهم وقلة أفهامهم بالسرَاعة في الحكم على غيرهم، فكما أن القاعدة تقول أن مَن لا يستطيع الإتيان بالأعمال إنما ينتقدها ويقلل من مراتبها، فإن العاجز عن الفهم سريعُ التهور شدي...

اقرأ المزيد ←
أَرِقتُ فَبِتُّ لَم أَذُق المَناما ●●●● وَلَيلي لا أُحِسُّ لَهُ انصِراما
لَعَمرُ...

أَرِقتُ فَبِتُّ لَم أَذُق المَناما ●●●● وَلَيلي لا أُحِسُّ لَهُ انصِراما لَعَمرُ...

أَرِقتُ فَبِتُّ لَم أَذُق المَناما ●●●● وَلَيلي لا أُحِسُّ لَهُ انصِراما لَعَمرُكَ وَالمَنايا غالِباتٌ ●●●● وَما تُغني التَميماتُ الحِماما لَقَد أَجرى لِمَصرَعِهِ تَليدٌ ●●●● وَساقَتهُ المَنِيَّةُ مِن...

اقرأ المزيد ←
"وستزيد الشراكة الاستراتيجية النشطة بين الولايات المتحدة والاتحاد الأوروبي من فر...

"وستزيد الشراكة الاستراتيجية النشطة بين الولايات المتحدة والاتحاد الأوروبي من فر...

"وستزيد الشراكة الاستراتيجية النشطة بين الولايات المتحدة والاتحاد الأوروبي من فرص تحوّل إيران من غول إقليمي إلى عامل استقرار في المنطقة...على المدى البعيد، وخلافا للصورة التي يرسمها الملالي الذين يحكم...

اقرأ المزيد ←
كلما حصَّلت أكثر في علم التشفير وهضمت مفاهيم الحافظات الموزّعة Distributed Ledge...

كلما حصَّلت أكثر في علم التشفير وهضمت مفاهيم الحافظات الموزّعة Distributed Ledge...

كلما حصَّلت أكثر في علم التشفير وهضمت مفاهيم الحافظات الموزّعة Distributed Ledgers، تفوقت على بقية مطوري البلوكتشين وكنتَ ذا رؤية أعمق، وقدرة أصلد على التطوير وإيجاد الحلول البرمجية للمشكلات النظرية. ...

اقرأ المزيد ←
ألف ديكارت كتابه [حديث الطريقة لقيادة العقل قيادة حسنة والبحث عن الحقيقة في العل...

ألف ديكارت كتابه [حديث الطريقة لقيادة العقل قيادة حسنة والبحث عن الحقيقة في العل...

ألف ديكارت كتابه [حديث الطريقة لقيادة العقل قيادة حسنة والبحث عن الحقيقة في العلوم] ليكشف عن تأملات خصَّته وعصفت به، فقضى أول ثلاثة فصول (115 صفحة) يقدِّم للكشف ويسهِّل أمام المتلقين والقُرَّاء، حين ت...

اقرأ المزيد ←
رَ، الوعي البشري في جوهره غير خوارزميّ Non-algorithmic، وكل أوهام الذكاء الاصطنا...

رَ، الوعي البشري في جوهره غير خوارزميّ Non-algorithmic، وكل أوهام الذكاء الاصطنا...

رَ، الوعي البشري في جوهره غير خوارزميّ Non-algorithmic، وكل أوهام الذكاء الاصطناعي القوي Strong AI مبنية على أطروحة أن وعي الحواسيب سينشأ عبرَ أنظمة معقدة Complex systems من الخوارزميات. ثم، ماذا تقو...

اقرأ المزيد ←
1) حسنا سأفعل، لطلبات أخرى تواصل هنا info@qasawa

1) حسنا سأفعل، لطلبات أخرى تواصل هنا info@qasawa

1) حسنا سأفعل، لطلبات أخرى تواصل هنا info@qasawa.com 2) وعليكم السلام حياكم الله، لغة البرمجة مجرد أداة تستعملها لتنفيذ أشغال معينة ضمن حقل حاسوبي معين، لذلك وجب أن تدري في أي الحقول تريد أن تشتغل، ...

اقرأ المزيد ←
في استطلاع للمطورين أجرته Stack Overflow عام 2016، تَبيّن أن 56% من مطوري البرمج...

في استطلاع للمطورين أجرته Stack Overflow عام 2016، تَبيّن أن 56% من مطوري البرمج...

في استطلاع للمطورين أجرته Stack Overflow عام 2016، تَبيّن أن 56% من مطوري البرمجيات ليست لديهم شهادة جامعية. في عرض ال4,499 وظيفة على Stack Overflow Jobs، لم تكن الشهادة متطلبا في 61% منها.¹ بخصوص ...

اقرأ المزيد ←
1) بدايةً لستُ صحفيا لكي أتحدث أو لا أتحدث، ثم فإن عدم "التكلم" عن قضية فلسطين ل...

1) بدايةً لستُ صحفيا لكي أتحدث أو لا أتحدث، ثم فإن عدم "التكلم" عن قضية فلسطين ل...

1) بدايةً لستُ صحفيا لكي أتحدث أو لا أتحدث، ثم فإن عدم "التكلم" عن قضية فلسطين لا يجعل شخصا جاهلا كما أن "التكلم" لا يجعله عالما، وأخيرا أنا مولود في فلسطين ولا زلت أسكنها إلى الآن. 2) لا، لا تجلب ال...

اقرأ المزيد ←

تأملُّ الزمن وكيف يسرع بنا غير آبه، يسرق الأعمار ويُذل الأحرار، كفيلٌ بأن يصيب المرء بالجنون

تأملُّ الزمن وكيف يسرع بنا غير آبه، يسرق الأعمار ويُذل الأحرار، كفيلٌ بأن يصيب المرء بالجنون! أيُّ دنيا هذه! يكاد الواحد أن يفقد عقله ويُعدَمَ رشده حينما يتفكر في سنوات مديدة مضت لم يحس بها وكأنه كان ...

اقرأ المزيد ←

لغة البرمجة هاسكل والصرامة الرياضياتية يُشار عادة إلى لغة البرمجة هاسكل على أنه...

لغة البرمجة هاسكل والصرامة الرياضياتية يُشار عادة إلى لغة البرمجة هاسكل على أنها اللغة الأكثر صرامة بين بقية لغات البرمجة حتى أنها توصف بشائعة خاطئة: "لن تستطيع كتابة كود عبر هاسكل من غير أن تكون لدي...

اقرأ المزيد ←

يُدرِّس 50% من المواد في قسم علم الحاسوب في جامعتي محاضِرَان، الاثنان درجتهم الع...

يُدرِّس 50% من المواد في قسم علم الحاسوب في جامعتي محاضِرَان، الاثنان درجتهم العليا ماجستير فحسب، واستنادا إلى الدرجة العلمية خاصتهم والواقع الملموس، فإن المستوى العلمي لهذين المحاضرَيْن لا يجاوز معرف...

اقرأ المزيد ←

أعرف واحدا استخدم أول البارحة GitHub Pages لبناء موقع بسيط، اليوم كتب مقالا من 5...

أعرف واحدا استخدم أول البارحة GitHub Pages لبناء موقع بسيط، اليوم كتب مقالا من 5 صفحات يحدث الناس فيه عن خبرته في برمجة الويب. وهنا تعجز علامات التعجب عن التعبير🌹 *استعمال الGitHub Pages موضوعه أبسط...

اقرأ المزيد ←
صحا قيس العصا بمزاج معكّر وحصانه به قد شبَّر، فما أن تُثْقِلني نفسي حتى أبادر إل...

صحا قيس العصا بمزاج معكّر وحصانه به قد شبَّر، فما أن تُثْقِلني نفسي حتى أبادر إل...

صحا قيس العصا بمزاج معكّر وحصانه به قد شبَّر، فما أن تُثْقِلني نفسي حتى أبادر إلى غزوة أغنم بها من الأطايب ما يداوي. حينما أشعر بأن العمل والأشغال بدأت تأخذ مني كل مأخذ، أبادر من فوري إلى السطو على ك...

اقرأ المزيد ←

حينما تكون مهرِّجا (أو ستاند أب كوميدي)، وتجد نفسك فجأةً قد أصبحت مدرِّسَ رياضيا...

حينما تكون مهرِّجا (أو ستاند أب كوميدي)، وتجد نفسك فجأةً قد أصبحت مدرِّسَ رياضيات، هذا ليس تعليما للرياضيات بل تقيُّؤًا في أدمغة التلاميذ. بعدها يتسائل المستغربون لماذا ليس عندنا رياضياتييون أفذاذ بال...

اقرأ المزيد ←

"وقد سمعت مؤخرا من بعض زملائي المفسبكين الذين لهم عضوية في ذلك الموقع الخبيث، فك...

"وقد سمعت مؤخرا من بعض زملائي المفسبكين الذين لهم عضوية في ذلك الموقع الخبيث، فك الله أسرهم من ذلك الموقع أنه قد وقعت أمور مريبة فيه" ~ القول المسبوك في حقيقة الموقع فيسبوك، أبو الفداء حسام بن مسعود،...

اقرأ المزيد ←

من لم يكن معك وقتَ أحاطت بك المدلهمات وطوَّقتك الشدائد، لا يلزمك البتة وقت صعودك...

من لم يكن معك وقتَ أحاطت بك المدلهمات وطوَّقتك الشدائد، لا يلزمك البتة وقت صعودك، ولا حاجة تروم بك أن تبقي عليه إلى حين الصعود، فوجود الذي لا ينفعك وقت السواد مصيبةٌ تُضَافُ إليك وإلى مصائبك، فذَرْ عن...

اقرأ المزيد ←
الذي يريد دراسة علم التشفير بأعمق طريقة ممكنة، فهذان المجلدان أمامه، قد يكون هذا...

الذي يريد دراسة علم التشفير بأعمق طريقة ممكنة، فهذان المجلدان أمامه، قد يكون هذا...

الذي يريد دراسة علم التشفير بأعمق طريقة ممكنة، فهذان المجلدان أمامه، قد يكون هذا أعمق كتاب أُلِّفَ في علم التشفير على الإطلاق. ستلزمك نظرية الاحتمالات وشيء من الإحصاء، والمؤلف وضع لك مراجعا تدرس منها ...

اقرأ المزيد ←

الطريقة التي يلوك بها صغارُ الرياديين السخفاء مساوئَ الوظائف وعبوديتها في مقابل...

الطريقة التي يلوك بها صغارُ الرياديين السخفاء مساوئَ الوظائف وعبوديتها في مقابل محاسن الأعمال الحرة، ليست تدل سوى على ضحالة عقولهم وغبائهم المدقع في فهم الواقع؛ وما يغيب عن أذهان هؤلاء الذين ليست عنده...

اقرأ المزيد ←

يُعرَفُ من الحمير نوعان، النوع الذي يركبه رعيان الأغنام، والنوع الذي يقول لك أن...

يُعرَفُ من الحمير نوعان، النوع الذي يركبه رعيان الأغنام، والنوع الذي يقول لك أن الجامعة تعلّم الالتزام والانضباط. الحق أنها فكرة جميلة أن يقضي الناس أربع سنوات من حيَوَاتهم لكي يتعلموا "الالتزام والان...

اقرأ المزيد ←
لماذا عليك -حوسبيًّا كنتَ أو مبرمجا- أن تدرس البلوكتشين

لماذا عليك -حوسبيًّا كنتَ أو مبرمجا- أن تدرس البلوكتشين

لماذا عليك -حوسبيًّا كنتَ أو مبرمجا- أن تدرس البلوكتشين؟ لأنه سيكون مسؤولا عن ثورة العشرين سنة المقبلة في عوالم الانترنت والتكنولوجيا. البلوكتشين سيغير وجه الدنيا كلها، وسيكون أعمق أثرًا من الذكاء ال...

اقرأ المزيد ←

في مقبل الأيام، ستكون عندي وظائف شاغرة لمن لديه خبرة في بناء No-code conversati...

في مقبل الأيام، ستكون عندي وظائف شاغرة لمن لديه خبرة في بناء No-code conversational chatbots ونموذج الراتب سيكون get paid as you build. من لديه المقدرة فليتواصل هنا: info@qasawa.com *ليس القصد البن...

اقرأ المزيد ←
هذان مجلدايّ العلميان الرئيسان [PDF]، يجاوزان معًا 3000 كتابا، مقروئي منهما يزيد...

هذان مجلدايّ العلميان الرئيسان [PDF]، يجاوزان معًا 3000 كتابا، مقروئي منهما يزيد...

هذان مجلدايّ العلميان الرئيسان [PDF]، يجاوزان معًا 3000 كتابا، مقروئي منهما يزيد عن الثلث، إلا أنني أود كل حين أنني لم أعرف قراءة ولا كتبا، وأرجو لو كنت راعي أغنام يقري ضيوفه من حلاله، ويسرح بإبله وغن...

اقرأ المزيد ←
عام 1991 صدرت النُّسَخ الأولى من حزمة مايكروسوفت أوفيس لنظام التشغيل ويندوز، انظرْ والحظْ الأشكال

عام 1991 صدرت النُّسَخ الأولى من حزمة مايكروسوفت أوفيس لنظام التشغيل ويندوز، انظرْ والحظْ الأشكال

عام 1991 صدرت النُّسَخ الأولى من حزمة مايكروسوفت أوفيس لنظام التشغيل ويندوز، انظرْ والحظْ الأشكال! لا بد أن الجنون التكنولوجي اليوم لا يسمح لك بأن تبدأ مشروعك بمثل هذه الرداءة، لا شك أنك بحاجة أن تفوق...

اقرأ المزيد ←
قبل الحرب كانت بعض البورصات والمنصات تسمح بشراء الكريبتو من بطاقات بنكية فلسطيني...

قبل الحرب كانت بعض البورصات والمنصات تسمح بشراء الكريبتو من بطاقات بنكية فلسطيني...

قبل الحرب كانت بعض البورصات والمنصات تسمح بشراء الكريبتو من بطاقات بنكية فلسطينية، اليوم حُظِرَ الشراء حظرا تاما، ومن يقطن في فلسطين فإنه يحتاج لِأن يمر في سلسلة معاملات تشبه غسيل الأموال لكي يحصل على...

اقرأ المزيد ←
أدهى الفنون الذي يثني القواعد دون كسرها، كأن تتكيّف مع مياه خصمك لتغرقه، وكأن تح...

أدهى الفنون الذي يثني القواعد دون كسرها، كأن تتكيّف مع مياه خصمك لتغرقه، وكأن تح...

أدهى الفنون الذي يثني القواعد دون كسرها، كأن تتكيّف مع مياه خصمك لتغرقه، وكأن تحاكي أساليب المنافسين لتبزَّهم، لماذا أحتاج أن أكسر قاعدةً في حين يمكنني ثنيُها، أو تقويم اعوجاجها؟

اقرأ المزيد ←

بعض الشباب الحوسبيين عنده خوف وهوس من أن تُسْرَق أفكاره البرمجية والريادية، وأقو...

بعض الشباب الحوسبيين عنده خوف وهوس من أن تُسْرَق أفكاره البرمجية والريادية، وأقول لهؤلاء أن يطمئنوا، إذا كنتَ أنت -صاحبَ الفكرة- لم تنفذها ولم تكملها، أفتظن إذ ذاك أن غيرك سيطير إليها؟ تالله لو أعطيت ...

اقرأ المزيد ←
هذا الكتاب في مكتبتي مذ كنت طفلا، لكنني -حدَّ الساعة- لم أقرأه ولستُ أعرف شيئا م...

هذا الكتاب في مكتبتي مذ كنت طفلا، لكنني -حدَّ الساعة- لم أقرأه ولستُ أعرف شيئا م...

هذا الكتاب في مكتبتي مذ كنت طفلا، لكنني -حدَّ الساعة- لم أقرأه ولستُ أعرف شيئا مما فيه البتة، إلا أنَّني، في الأوقات المخصصة للقراءة، ووقتما أصل الذروة، قد أنجز كتابا كاملا من 400 صفحة في يوم واحد، فل...

اقرأ المزيد ←
(1) قلتُ أنني سأبدأ سلسلةً من المقالات حول التداول الخوارزميّ والتداول المستند إ...

(1) قلتُ أنني سأبدأ سلسلةً من المقالات حول التداول الخوارزميّ والتداول المستند إ...

(1) قلتُ أنني سأبدأ سلسلةً من المقالات حول التداول الخوارزميّ والتداول المستند إلى الرياضيات، وأول ما أبدأ به ترشيحٌ لكتاب من العيار الثقيل، إلا أنه هذه المرة موجه خصيصا لطلبة الرياضيات أو للرياضياتيي...

اقرأ المزيد ←

مؤسف بحق أن بعض الشباب يشتغل من الثامنة صباحا حتى الرابعة عصرا، وبعضهم يشتغل شغل...

مؤسف بحق أن بعض الشباب يشتغل من الثامنة صباحا حتى الرابعة عصرا، وبعضهم يشتغل شغلَيْن، واصلا الليل بالنهار، ليأتي عُهَّار مواقع التواصل ويجنون في بضعة ساعات ما يجنيه شاب كادح في شهر بأكمله، فأيُّ مسخرة...

اقرأ المزيد ←
الراتب السنوي للمتداول الخوارزميّ في السوق المشفر يصل إلى 400 ألف دولار، مما يعن...

الراتب السنوي للمتداول الخوارزميّ في السوق المشفر يصل إلى 400 ألف دولار، مما يعن...

الراتب السنوي للمتداول الخوارزميّ في السوق المشفر يصل إلى 400 ألف دولار، مما يعني 33 ألف دولار شهريا. فما هذا القطاع؟ وما طبيعة العمل فيه؟ وأي المهارات تلزم المتداول الخوارزميّ؟ سأبيّن هذي الجوانب في ...

اقرأ المزيد ←

مَن تابع التطورات الأولية للحرب، وتمعَّن في خطابات محمد الضيف، يدري جيدا أن القي...

مَن تابع التطورات الأولية للحرب، وتمعَّن في خطابات محمد الضيف، يدري جيدا أن القيادة العسكرية كانت معوِّلة، بل ومنسِّقة مع أطراف كان المفترض منها أن تؤازِر عند ساعة الصفر، وأن تفتح النيران حينما تنفد ذ...

اقرأ المزيد ←
آينشتاين طَعَج الشَّتِيتات Manifolds طعجًا خلال صياغته للنسبية

آينشتاين طَعَج الشَّتِيتات Manifolds طعجًا خلال صياغته للنسبية

آينشتاين طَعَج الشَّتِيتات Manifolds طعجًا خلال صياغته للنسبية. بول ديراك تنبأ بوجود المادة المضادة Antimatter من خلال المعادلات الرياضية على ورقة وقلم فحسب. إنجازات الفيزيائيين العرب الذين لديهم حرف...

اقرأ المزيد ←
هذا الرجل لو عُرِض عليه مفهوم المتغيرات الخفية Hidden variables في الميكانيك الك...

هذا الرجل لو عُرِض عليه مفهوم المتغيرات الخفية Hidden variables في الميكانيك الك...

هذا الرجل لو عُرِض عليه مفهوم المتغيرات الخفية Hidden variables في الميكانيك الكمومي، لأقسمَ على أنها السبب في اختفاء جورابه من الغسالة، ولحلف أيمانا معظمة على أنها تدحض وجود خالق محتمل للكون. ولكنه ك...

اقرأ المزيد ←
من الفوائد الرائقة لِأن يكون حاسوبُك المحمول محطةَ عمل Workstation، ويحوي -كما ع...

من الفوائد الرائقة لِأن يكون حاسوبُك المحمول محطةَ عمل Workstation، ويحوي -كما ع...

من الفوائد الرائقة لِأن يكون حاسوبُك المحمول محطةَ عمل Workstation، ويحوي -كما عندي- 20 نواة core، و20 نَيْسَب أو تشعب Thread، بمعالج Core-i9، أن يكون بوسعك تصريف Compiling نواة لينكس Linux kernel وبن...

اقرأ المزيد ←

اللحظات الأصعب في تاريخ بلوكتشين الإيثيريوم عام 2016، وهجوم ال150 مليون دولار، و...

اللحظات الأصعب في تاريخ بلوكتشين الإيثيريوم عام 2016، وهجوم ال150 مليون دولار، وكيف أمكن لفرد وحيد أن يؤرق مجتمعا عملاقا ويقض مضاجعه؟ تمركَز المخترِق مستخدما هجوم إعادة الدخول Reentrancy attack، الذي...

اقرأ المزيد ←

أستغرب كل الاستغراب من امرئٍ لم يحلحل في حياته كلها معادلةً تفاضليةً جزئية Parti...

أستغرب كل الاستغراب من امرئٍ لم يحلحل في حياته كلها معادلةً تفاضليةً جزئية Partial Differential Equation، ومن ثَمَّ يتصدر إلى متابعيه على أنه "ناقد للعلم التجريبي والفيزياء"! أو رجلٍ لا يعرف أبجديات ا...

اقرأ المزيد ←

قبل شيء من الأيام، كنت على وشك شراء سوفتوير كامل مقابل 15,000$، وذا السوفتوير بع...

قبل شيء من الأيام، كنت على وشك شراء سوفتوير كامل مقابل 15,000$، وذا السوفتوير بعد شرائك إياه يصبح White-Labled، بمعنى: تأخذ الخدمات -بكل ما تحتويه- جاهزةً من الشركة المصنعة، ثم يصبح السوفتوير كاملا با...

اقرأ المزيد ←
أَزَعَمتَ أَنَّكَ آخِذٌ مِن لَذَّةٍ ●●●● حَظّاً وَأَنَّكَ لا تُؤَمِّلُ مَرجِعا
ح...

أَزَعَمتَ أَنَّكَ آخِذٌ مِن لَذَّةٍ ●●●● حَظّاً وَأَنَّكَ لا تُؤَمِّلُ مَرجِعا ح...

أَزَعَمتَ أَنَّكَ آخِذٌ مِن لَذَّةٍ ●●●● حَظّاً وَأَنَّكَ لا تُؤَمِّلُ مَرجِعا حَتّى ما تُصبِحُ لِلضَعيفِ مُقَوِّياً ●●●● فِعلَ السَفيهِ وَلِلجَبانِ مُشَجِّعا لَو لَم نُراعِ أَمامَنا إِلّا الرَدى ●●●●...

اقرأ المزيد ←

لا يمكن لرياضياتي تطبيقي أن يصحح ولا له أن يقوّم منطقيا نظريا، تتحرك الرياضيات ب...

لا يمكن لرياضياتي تطبيقي أن يصحح ولا له أن يقوّم منطقيا نظريا، تتحرك الرياضيات بأسرها ضمن أفلاك المنطق الرياضي، ولولا أنظمة الرتب المنطقية لما استطاع رياضياتي أو فيزيائي بل وحتى مهندس أن يزاول عمله بس...

اقرأ المزيد ←
"لقد أتينا إلى هذه البلاد التي كانت مأهولةً من الأصل بالعرب، وإننا نؤسس دولةً عبرية، أي يهوديةً هنا

"لقد أتينا إلى هذه البلاد التي كانت مأهولةً من الأصل بالعرب، وإننا نؤسس دولةً عبرية، أي يهوديةً هنا

"لقد أتينا إلى هذه البلاد التي كانت مأهولةً من الأصل بالعرب، وإننا نؤسس دولةً عبرية، أي يهوديةً هنا. لقد بُنيَت القرى اليهودية مكان قرى العرب. أنتم لا تعرفون أسماء هذه القرى العربية حتى، وأنا لا ألومك...

اقرأ المزيد ←

إذا أردت أن تجني مالًا فإن أول ما يتعين عليك فعلُه أن تكفَّ عن قياس رأسك على رؤو...

إذا أردت أن تجني مالًا فإن أول ما يتعين عليك فعلُه أن تكفَّ عن قياس رأسك على رؤوس الآخرين، وأفسد القياسات تلك التي تجريها كالبليد المغفل مبادرا إلى استهجان الفكرة سائلا: "ولكن لو كانت ستنجح لفعلها غير...

اقرأ المزيد ←

الرجل في الصورة هو رياضياتي من طراز جدِّ رفيع، لمَّا افتقر فاحتاج مالا، سخَّر ال...

الرجل في الصورة هو رياضياتي من طراز جدِّ رفيع، لمَّا افتقر فاحتاج مالا، سخَّر الرياضيات فصنع 30 مليار دولار تخرّج جيمس سايمونز ببكالوريوس في الرياضيات من MIT عام 1958، ودكتوراة في الرياضيات من جامعة ...

اقرأ المزيد ←
خلَّصت قراءة المجلدَيْن الأُوَل من تاريخ ابن خلدون، يقعان في 1300 صفحة، ولمَّا ك...

خلَّصت قراءة المجلدَيْن الأُوَل من تاريخ ابن خلدون، يقعان في 1300 صفحة، ولمَّا ك...

خلَّصت قراءة المجلدَيْن الأُوَل من تاريخ ابن خلدون، يقعان في 1300 صفحة، ولمَّا كنت -كعادتي- لا أحب تلخيص ما أقرأ، فسأحكي خاطِرًا طرَقَني قديما وعاوَدَ تطويقي مُذ انكببت على المجلد الأول حتى داهمني تما...

اقرأ المزيد ←
"اسأل رفيقي القديم غيرسدوف عما إذا كان يرغب في الذهاب معي إلى تونس لعامٍ أو عامين

"اسأل رفيقي القديم غيرسدوف عما إذا كان يرغب في الذهاب معي إلى تونس لعامٍ أو عامين

"اسأل رفيقي القديم غيرسدوف عما إذا كان يرغب في الذهاب معي إلى تونس لعامٍ أو عامين...أريد أن أعيش لبعض الوقت بين المسلمين، في الأماكن التي يكون فيها إيمانهم في أقصى خشوعه؛ وبهذه الطريقة ستصبح نظرتي وحك...

اقرأ المزيد ←
مَنْ استعصتْ عليه الفاهمة في كتاب الرد على المنطقيين، فأحسن شيء يزاوله أنْ يضع ا...

مَنْ استعصتْ عليه الفاهمة في كتاب الرد على المنطقيين، فأحسن شيء يزاوله أنْ يضع ا...

مَنْ استعصتْ عليه الفاهمة في كتاب الرد على المنطقيين، فأحسن شيء يزاوله أنْ يضع المجلد الخامس من مجموع الفتاوى (المنطق وعلم السلوك، طبعة دار ابن حزم) يمينَه، وأنْ يضع الردَّ يسارَه، ويقرأ الموضوعات بال...

اقرأ المزيد ←
في التقليد اليهودي، فإن "يهوه - יהוה" -أكثر أسماء إلههم قدسيةً-  مُحرَّمٌ النطقُ...

في التقليد اليهودي، فإن "يهوه - יהוה" -أكثر أسماء إلههم قدسيةً- مُحرَّمٌ النطقُ...

في التقليد اليهودي، فإن "يهوه - יהוה" -أكثر أسماء إلههم قدسيةً- مُحرَّمٌ النطقُ به، ولم يكن مسموحا سوى للكاهن الأعظم أن ينطقه، ولمرة واحدة خلال السنة، تكون يوم الغفران، وفي مكان واحد، يكون في قدس الأ...

اقرأ المزيد ←

"59- وسأله رجل عن المسح على اللحية في الوضوء، فقال: خللها بأصابعك

"59- وسأله رجل عن المسح على اللحية في الوضوء، فقال: خللها بأصابعك. فقال: أخاف أنْ لا تبلها! قال: فانقعها من أول الليل." ~ أخبار الظِّراف والمتماجنين، أبو الفرج ابن الجوزي، دار ابن حزم، الطبعة الأولى...

اقرأ المزيد ←
"وأجمل ما فيه حبه للنزهات الخلوية في الغابات والجبال، فساعات العزلة والنزهة كانت...

"وأجمل ما فيه حبه للنزهات الخلوية في الغابات والجبال، فساعات العزلة والنزهة كانت...

"وأجمل ما فيه حبه للنزهات الخلوية في الغابات والجبال، فساعات العزلة والنزهة كانت تقوم عنده مقام الصلاة، يصغي خلالها إلى حفيف الأشجار ووقع قطرات الماء ويسمع أصواتا غريبة...لقد كان يبكي إذا مات عصفور" ...

اقرأ المزيد ←

"306- قال علي بن مهدي: مر طبيب بأبي واسع المازنيّ، فشكا إليه ريحا في بطنه، فقال...

"306- قال علي بن مهدي: مر طبيب بأبي واسع المازنيّ، فشكا إليه ريحا في بطنه، فقال له: خذ الصَّعْتَرَ، فقال: يا غلام! دَوَاةٌ وقرطاس؛ قال: قلتَ ماذا؟ قال: كُرُّ صعترٍ ومكُّوكُ شعيرٍ، قال: لم تذكر الشعير ...

اقرأ المزيد ←

صخر الغي، فحل من فحول الجاهلية المنسيين: أَرِقتُ فَبِتُّ لَم أَذُق المَناما ●●●...

صخر الغي، فحل من فحول الجاهلية المنسيين: أَرِقتُ فَبِتُّ لَم أَذُق المَناما ●●●● وَلَيلي لا أُحِسُّ لَهُ انصِراما لَعَمرُكَ وَالمَنايا غالِباتٌ ●●●● وَما تُغني التَميماتُ الحِماما لَقَد أَجرى لِمَص...

اقرأ المزيد ←
ديفيد هلبرت الملقب بِجَدِّ الرياضيات ينسى نفسه تحت المطر ويعطي محاضرة رياضية في جنازة

ديفيد هلبرت الملقب بِجَدِّ الرياضيات ينسى نفسه تحت المطر ويعطي محاضرة رياضية في جنازة

ديفيد هلبرت الملقب بِجَدِّ الرياضيات ينسى نفسه تحت المطر ويعطي محاضرة رياضية في جنازة! كان لدى هلبرت -الرياضياتي الألماني العملاق- تلميذ قدَّم له نفسه مرةً عبر ورقة من المفترض بها أن تثبت حدسية ريمان...

اقرأ المزيد ←

مما نشرته بعض التحليلات التي استندت إلى تحليل مؤامراتي: ‏- بداية قام المهاجمون...

مما نشرته بعض التحليلات التي استندت إلى تحليل مؤامراتي: ‏- بداية قام المهاجمون بشراء مايقارب 1 مليار دولار ‎$UST. بعد ذلك تم اقتراض 3 مليار دولار من بيتكون تقريباً 75 ألف عملة بأسعار بين 40-38 ألف دو...

اقرأ المزيد ←

كيف سقط بلوكتشين التيرا Terra من قيمة سوقية ب60 مليار دولار إلى الصفر في غضون أسبوع

كيف سقط بلوكتشين التيرا Terra من قيمة سوقية ب60 مليار دولار إلى الصفر في غضون أسبوع؟ نظرية مؤامرة وحيدة قادرة على تفسير الكارثة في قلب الحي المالي الصاخب في نيويورك، تتمركز جهتان معروفتان ببأسهما الش...

اقرأ المزيد ←
مع أول نجاح يُكتَب لعملة مشفرة مستقرة خوارزميًّا Algorithmic Stable Coin، فإن ال...

مع أول نجاح يُكتَب لعملة مشفرة مستقرة خوارزميًّا Algorithmic Stable Coin، فإن ال...

مع أول نجاح يُكتَب لعملة مشفرة مستقرة خوارزميًّا Algorithmic Stable Coin، فإن العملات المشفرة سوف تتجه نحو لامركزية Decentralization شبه كاملة، وسيكون المسمار الأول الذي يُدَق في نعش الاقتصاد التقليدي...

اقرأ المزيد ←

"كل الرياضيات مقسومٌ إلى ثلاثة أجزاء: علم التشفير Cryptography، مدفوعٌ له من قب...

"كل الرياضيات مقسومٌ إلى ثلاثة أجزاء: علم التشفير Cryptography، مدفوعٌ له من قبل وكالة الاستخبارات المركزية CIA، ولجنة أمن الدولة السوفييتية KGB، ومن على شاكلتهما. الهايدرودايناميكا Hydrodynamis، مد...

اقرأ المزيد ←
أمَّا وقد جلستُ وسطَ حُرْش سكني، وقد أسرتني سماءٌ حالكة سوى من قليلِ نجوم وبضع غ...

أمَّا وقد جلستُ وسطَ حُرْش سكني، وقد أسرتني سماءٌ حالكة سوى من قليلِ نجوم وبضع غ...

أمَّا وقد جلستُ وسطَ حُرْش سكني، وقد أسرتني سماءٌ حالكة سوى من قليلِ نجوم وبضع غيوم، عصفَ بي من المدلهمات وجوم، يبدو أثره ويَبْطُنُ في النفس وَقْعُه، حتى لكأنَّ الوجه استحال صخرًا ثقيلا يكاد يتفتت شدة...

اقرأ المزيد ←

"287- ادَّعى رجل النبوة، فقيل له: أخرجْ لنا من الأرض بطيخة، فقال: اصبروا علي ثلا...

"287- ادَّعى رجل النبوة، فقيل له: أخرجْ لنا من الأرض بطيخة، فقال: اصبروا علي ثلاثة أيام، قالوا: ما نريد إلا الساعة، فقال: إن الله تعالى يُخرج البطيخة في ثلاثة أشهر، فلا تصبرون ثلاثة أيام؟!" ~ أخبار ا...

اقرأ المزيد ←
خلَّصت قراءة المجلدات الست الأخيرة من الكتاب العملاق "مرجع تاريخ المنطق Handbook...

خلَّصت قراءة المجلدات الست الأخيرة من الكتاب العملاق "مرجع تاريخ المنطق Handbook...

خلَّصت قراءة المجلدات الست الأخيرة من الكتاب العملاق "مرجع تاريخ المنطق Handbook of The History of Logic"، تقع في 4500 صفحة، ومُضافًا إليها الأجزاء الخمسة الأولى التي قرأتها في شهر 1، فإنني أكون قد ان...

اقرأ المزيد ←

"214- دخل قومٌ من بني تَيْمِ الله على مجنون من بني أسَدٍ، فأكثروا العبث به، فقال...

"214- دخل قومٌ من بني تَيْمِ الله على مجنون من بني أسَدٍ، فأكثروا العبث به، فقال لهم: يا بني تيم الله! ما أعلمُ قومًا خيرا منكم. قالوا: كيف؟ قال: بنو أسدٍ ليس فيهم مجنون غيري، قد قيَّدوني؛ وأنتم كلكم ...

اقرأ المزيد ←

شحذ الهجوم على ديفيد هيوم، هل المعجزات ممكنة حقا

شحذ الهجوم على ديفيد هيوم، هل المعجزات ممكنة حقا؟ الرياضيات الباييزية (Bayesian) تقف سدا منيعا في وجه نقودات هيوم على المعجزات بالوسع، من خلال الإبستمولوجيا الباييزية، تطبيقُ الرياضيات الخاصة بالتطور...

اقرأ المزيد ←
مع خرق البيتكوين لقمته المطلقة العليا (ATH - All Time High)، عند 69,000$، أصبح س...

مع خرق البيتكوين لقمته المطلقة العليا (ATH - All Time High)، عند 69,000$، أصبح س...

مع خرق البيتكوين لقمته المطلقة العليا (ATH - All Time High)، عند 69,000$، أصبح ساتوشي ناكاموتو (مخترع البيتكوين)، من جديد، مُحتلًّا الترتيب ال17 في قائمة أثرى أثرياء العالم. إذ يملك ساتوشي مليون ومئة ...

اقرأ المزيد ←
1. حياكم الله

2. تشتغل في الفوري Spot حيث التقابض، وتجتنب العقود الآجلة Futures...

1. حياكم الله 2. تشتغل في الفوري Spot حيث التقابض، وتجتنب العقود الآجلة Futures...

1. حياكم الله 2. تشتغل في الفوري Spot حيث التقابض، وتجتنب العقود الآجلة Futures تماما. وتبحث مشروع العملات كلا على حدة، من المشاريع الحلال، ومنها الحرام؛ يساعدك في هذا قنوات مثل "كريبتو حلال"، لهم قن...

اقرأ المزيد ←

"حدثنا يونس بن عبد الأعلى قال: ما رأيت أحدًا لقى من السقم ما لقى الشافعي، فدخلت...

"حدثنا يونس بن عبد الأعلى قال: ما رأيت أحدًا لقى من السقم ما لقى الشافعي، فدخلت عليه يوما فقال لي: يا أبا موسى، اقرأ عليَّ ما بعد العشرين والمائة من آل عمران، وأَخِفَّ القراءة ولا تثقل. فقرأت علَيه، ف...

اقرأ المزيد ←
"إن أكذب الفلسفات على الإطلاق، هي تلك التي، بحجة تخليص الناس من ارتباكات أهوائهم...

"إن أكذب الفلسفات على الإطلاق، هي تلك التي، بحجة تخليص الناس من ارتباكات أهوائهم...

"إن أكذب الفلسفات على الإطلاق، هي تلك التي، بحجة تخليص الناس من ارتباكات أهوائهم، تنصح بالكسل وهجر الذات وإهمالها" ~ ليك دي كلابيرز، ماركيز دي فوفينارج، التأملات والمآثر (1746)، ص172.

اقرأ المزيد ←
"اعلمْ أن الحروب وأنواع المقاتلة لم تزلْ واقعةً في الخليقة منذ برأها الله

"اعلمْ أن الحروب وأنواع المقاتلة لم تزلْ واقعةً في الخليقة منذ برأها الله

"اعلمْ أن الحروب وأنواع المقاتلة لم تزلْ واقعةً في الخليقة منذ برأها الله. وأصلها إرادة الانتقام بعضُ البشر من بعض، ويتعصَّب لكلٍّ منها أهل عصبيِّته. فإذا تذامروا لذلك وتوافقت الطائفتان، إحداهما تطلب ...

اقرأ المزيد ←

"عن إبراهيم بن عبد الملك، قال: جاء رجل إلى شعيب بن حرب -وهو بمكة- قال: ما جاء بك

"عن إبراهيم بن عبد الملك، قال: جاء رجل إلى شعيب بن حرب -وهو بمكة- قال: ما جاء بك؟ قال: جئت أؤنسك. قال: جئت تؤنسي وأنا أعالج الوحدة منذ أربعين سنة؟!" ~ رسائل ابن أبي الدُّنيا، المجلد الثالث، ص1284، أب...

اقرأ المزيد ←
فيتاليك بوترين طفلًا في التسعينيات مع والده، عالم الحاسوب ديميتري بوترين

فيتاليك بوترين طفلًا في التسعينيات مع والده، عالم الحاسوب ديميتري بوترين

فيتاليك بوترين طفلًا في التسعينيات مع والده، عالم الحاسوب ديميتري بوترين. فيتاليك هو مخترع بلوكتشين الإيثيريوم، ومؤسس مجلة Bitcoin Magazine، وعند بلوغه ال27 عاما، أصبح أصغر ملياردير في العالم إثر وصول...

اقرأ المزيد ←

"وقال رَجُلٌ من العرب لرجُل من أبناء العَجَم: رأيتُ في النوم كأني دخلت الجنة فلم...

"وقال رَجُلٌ من العرب لرجُل من أبناء العَجَم: رأيتُ في النوم كأني دخلت الجنة فلم أرَ فيها ثَنَوِيًّا. فقال له الثّنَوِيّ: أَصَعِدْتَ الغُرَف؟ قال: لا. قال: فمنْ ثَمَّ لم تَرَهُم، هُم في الغُرَف." ~ ا...

اقرأ المزيد ←
تعرَّف سِيْ زِد (CZ)، الذي عمل موظفا لفترة في ماكدونالدز، على البيتكوين عام 2013

تعرَّف سِيْ زِد (CZ)، الذي عمل موظفا لفترة في ماكدونالدز، على البيتكوين عام 2013

تعرَّف سِيْ زِد (CZ)، الذي عمل موظفا لفترة في ماكدونالدز، على البيتكوين عام 2013. عام 2014 أقدَمَ على بيع منزله في شانغاهاي، واستثمرها كلها في العملات المشفرة، مشتريا البيتكوين ب600$ لكل حبة، وبالرغم ...

اقرأ المزيد ←
طيب أنا شو أعمل مع دكاترة علم الحاسوب اللي مفكرين الNFT (الرموز غير القابلة للاس...

طيب أنا شو أعمل مع دكاترة علم الحاسوب اللي مفكرين الNFT (الرموز غير القابلة للاس...

طيب أنا شو أعمل مع دكاترة علم الحاسوب اللي مفكرين الNFT (الرموز غير القابلة للاستبدال) على البلوكتشين Blockchain على أنه بيع أحذية وسترات ملابس وقبعات رأس؟🥲

اقرأ المزيد ←

ذكر ثالث لابن تيمية، مستوحىً في الذكاء الاصطناعي، يورده عالم الحاسوب جون سُوَا (John F

ذكر ثالث لابن تيمية، مستوحىً في الذكاء الاصطناعي، يورده عالم الحاسوب جون سُوَا (John F. Sowa)، في ورقة بحثية بعنوان: "التصنيف في علم الحاسوب الاستعرافي Categorization in Cognitive Computer Science" ...

اقرأ المزيد ←

اشتريت هذا الدومين، سأحيي أيامَ حسابي القديم عليه، اشتقت أيَّما اشتياق للأطروحات...

اشتريت هذا الدومين، سأحيي أيامَ حسابي القديم عليه، اشتقت أيَّما اشتياق للأطروحات العلمية، في الحوسبة والمنطق والرياضيات، وَلْتَتَدَرَجْ المقالات من ترغيب المبتدئين إلى ترهيب الأوباش الرِعاديد، حتى أور...

اقرأ المزيد ←

مشروع يصطدم بالواقع فيفشل، أجدى من فكرة في الرأس لم تُفْعَل

مشروع يصطدم بالواقع فيفشل، أجدى من فكرة في الرأس لم تُفْعَل. وعادة الأفكار في الرأس أنها ناجحة بطبيعة العقلية الحالِمة التي ينظر المرء من خلالها، ولذا فإن جلب الأفكار إلى الساحة العملية أمر فيه من الر...

اقرأ المزيد ←

في عصر الانترنت فإن التلملم الضخم حول إحدى الشخصيات لا يعني اتساقا في الطرح ولا...

في عصر الانترنت فإن التلملم الضخم حول إحدى الشخصيات لا يعني اتساقا في الطرح ولا صحةً في المنهج أو نفاذا في التأثير، بقدر ما يعني أنه تلملم شبيه بعصابات المافيا، فالاستقطاب سهلٌ على أصحاب البضاعة المزج...

اقرأ المزيد ←

كتاب ستروسترب هذا في لغة ++C, من أدسم الكتب التي قرأتها في البرمجة ومارستُ بناءً...

كتاب ستروسترب هذا في لغة ++C, من أدسم الكتب التي قرأتها في البرمجة ومارستُ بناءً على ما فيها، والحق أنه من أوائل الكتب التي أنهيتها -كما يُقال- من الجلدة للجلدة (1300 صفحة)، إذ كنتُ أتسلى به أيام مكوث...

اقرأ المزيد ←

إذا كان السقوط سببه هجوم سيبراني (وهذا ما لن تعلنه فيسبوك) فإن الهجوم ذاته يكون...

إذا كان السقوط سببه هجوم سيبراني (وهذا ما لن تعلنه فيسبوك) فإن الهجوم ذاته يكون قد كسر حماية النظام، وإذن الوصول إلى بيانات غير مسموح بالوصول إليها. وفي مثل هذي الحالات، يكون المهاجمون قد وصلوا إلى ال...

اقرأ المزيد ←

إن حياة ألكسندر غروتونديك، أشد الرياضياتيين عُمْقا وموهبةً طبيعية في القرن العشر...

إن حياة ألكسندر غروتونديك، أشد الرياضياتيين عُمْقا وموهبةً طبيعية في القرن العشرين، كانت حافلةً بالمآسي وغرائب الأطوار، فقد عاش ظاهرة الرياضيات -كما يحب ميشيل عطية أن يسميه- بلا جنسية، متخفيا من الغست...

اقرأ المزيد ←

قلتُ، من الكامل: إِنَّيْ أَرِقْتُ فَهُيِّجَتْ آلَامِي أَجْتَرُّهَا حَزِنًا ت...

قلتُ، من الكامل: إِنَّيْ أَرِقْتُ فَهُيِّجَتْ آلَامِي أَجْتَرُّهَا حَزِنًا تُحَيْتَ ظَلَامِ فَإِذَا دَنَا مِنِّي الظَّلَامُ فَحِيمًا قَحَلَتْ وَشَبَّتْنِي صَلَى الأَسْقَامِ

اقرأ المزيد ←
الطلب السنوي على مطوري ومبرمجي البلوكتشين يسجل رقما هائلا بِ517%، في حين أن الطل...

الطلب السنوي على مطوري ومبرمجي البلوكتشين يسجل رقما هائلا بِ517%، في حين أن الطل...

الطلب السنوي على مطوري ومبرمجي البلوكتشين يسجل رقما هائلا بِ517%، في حين أن الطلب على مطوري تعلُّم الآلة (ذكاءٌ اصطناعي) لا يجاوز 27%! ومطورو الويب المتكامل (Full-stack) لا يجاوز الطلب عليهم 7% البلو...

اقرأ المزيد ←
أنا أعترض على أن يُطلق علي لقب عبقري الشطرنج، لأنني أعتبر نفسي عبقريًا في كل مكا...

أنا أعترض على أن يُطلق علي لقب عبقري الشطرنج، لأنني أعتبر نفسي عبقريًا في كل مكا...

أنا أعترض على أن يُطلق علي لقب عبقري الشطرنج، لأنني أعتبر نفسي عبقريًا في كل مكان وتصادف أنني لعبت الشطرنج، وهو أمر مختلف شيئًا ما. قطعة من القمامة مثل كاسباروف يمكن أن يطلق عليها عبقري الشطرنج، لكنه ...

اقرأ المزيد ←

المدعو حسان بن عابد، وكيف يجعل نفسه أضحوكة تبعث على البكاء حينما يتحدث في غير فنه

المدعو حسان بن عابد، وكيف يجعل نفسه أضحوكة تبعث على البكاء حينما يتحدث في غير فنه؟ يربط صاحب المنشور إيمان غودل بوجود حياة بعد الموت بمبرهناته لعدم الاكتمال، فيُعَرِّف إحدى المبرهنات على طريقة أشدُّ ...

اقرأ المزيد ←

منشور حسان بن عابد عن كارت غودل عبارة عن نفخ في البوق، ولكن البصاق هو الناتج وليس الصوت

منشور حسان بن عابد عن كارت غودل عبارة عن نفخ في البوق، ولكن البصاق هو الناتج وليس الصوت. الناس لا تطير فرحا إلا بالهراء. وكما قيل: إذا تحدث أحيائي في الرياضيات فألقوا به في المزبلة

اقرأ المزيد ←

يعيدني قول الشعر، قلتُ، من الطويل: إِذَا مَا صَحَا شَوْقُ الفَتَى وحَنِينُهُ...

يعيدني قول الشعر، قلتُ، من الطويل: إِذَا مَا صَحَا شَوْقُ الفَتَى وحَنِينُهُ وَهَبَّتْ بِهِ نَارُ الجَوَى فَذَرُوهُ وَلَا تُكْثِرُوا نُصْحًا وَقَولًا سَدِيدًا أَقِلُّوا وَفِي لَظَىً لِقَلْبٍ...

اقرأ المزيد ←

بعض الناس لا يصلح أمره سوى صعقة كهربائية تنفضه نفضا وتعيد سريان الدم إلى رأسه، إ...

بعض الناس لا يصلح أمره سوى صعقة كهربائية تنفضه نفضا وتعيد سريان الدم إلى رأسه، إذا لقي من يخالفه أراد مماثلةً، وإذا لقيه من يشابهه حسده، وهو بين هذا وذاك يدبُّ النصائح دبًّا من غير علم بسياقات أو مضام...

اقرأ المزيد ←
أبو ليلى المهلهل:

قرّبا مربط المشهر مني ●●●● إن تلاقت رجالهم ورجالي
قربا مربط ا...

أبو ليلى المهلهل: قرّبا مربط المشهر مني ●●●● إن تلاقت رجالهم ورجالي قربا مربط ا...

أبو ليلى المهلهل: قرّبا مربط المشهر مني ●●●● إن تلاقت رجالهم ورجالي قربا مربط المشهر مني ●●●● طال ليلي وأقصرت عُذّالي قربا مربط المشهر مني ●●●● لنضالٍ إذا أرادوا نضالي قربا مربط المشهر مني ●●●● لقتي...

اقرأ المزيد ←
قد مضت على آذاني ساعتان كاملتان مشدودةً إلى قصيدة المهلهل "قرّبا مربط المشهّر من...

قد مضت على آذاني ساعتان كاملتان مشدودةً إلى قصيدة المهلهل "قرّبا مربط المشهّر من...

قد مضت على آذاني ساعتان كاملتان مشدودةً إلى قصيدة المهلهل "قرّبا مربط المشهّر مني"، أسمعها مشدوهًا من غير توقف وقد استلقيت في الشمس تحت الأشجار. إلى أن قلت في نفسي، وأنا الذي قرأت شعراء الإنجليز وفرنس...

اقرأ المزيد ←
هاهنا تحدثت عن الإبداع الأعظم لساتوشي ناكاموتو مخترع البيتكوين، معضلة الإنفاق ال...

هاهنا تحدثت عن الإبداع الأعظم لساتوشي ناكاموتو مخترع البيتكوين، معضلة الإنفاق ال...

هاهنا تحدثت عن الإبداع الأعظم لساتوشي ناكاموتو مخترع البيتكوين، معضلة الإنفاق المزدوج (Double spending) وحله لها، لست يوتيوبر بالمعنى الفني، لكن راقني أن أنشر شيئا هناك كل بضعة شهور الفيديو

اقرأ المزيد ←
أَلاَ لاَ يَعْلَـمُ الأَقْـوَامُ أَنَّــا
تَضَعْضَعْنَـا وَأَنَّـا قَـدْ وَنِيْن...

أَلاَ لاَ يَعْلَـمُ الأَقْـوَامُ أَنَّــا تَضَعْضَعْنَـا وَأَنَّـا قَـدْ وَنِيْن...

أَلاَ لاَ يَعْلَـمُ الأَقْـوَامُ أَنَّــا تَضَعْضَعْنَـا وَأَنَّـا قَـدْ وَنِيْنَـا أَلاَ لاَ يَجْهَلَـنَّ أَحَـدٌ عَلَيْنَـا فَنَجْهَـلَ فَوْقَ جَهْلِ الجَاهِلِيْنَـا وَنَحْنُ الحَاكِمُـوْنَ إِذَا ...

اقرأ المزيد ←

كانت وظيفة الفنون القتالية في السابق أن تُجهِّز مقاتلين قلوبهم ميتة، بحيث يستعد...

كانت وظيفة الفنون القتالية في السابق أن تُجهِّز مقاتلين قلوبهم ميتة، بحيث يستعد المقاتل بدنيا ونفسيا لمجابهة عدد مفتوح من الخصوم المحتملين في نزال في الشارع صباحا أو نضال في الغابات والبراري ليلا، وإذ...

اقرأ المزيد ←
اتجه بل غيتس بالطائرة لعقد لقاء مفصلي مع مستثمرين من الشركة العملاقة IBM، وذا ال...

اتجه بل غيتس بالطائرة لعقد لقاء مفصلي مع مستثمرين من الشركة العملاقة IBM، وذا ال...

اتجه بل غيتس بالطائرة لعقد لقاء مفصلي مع مستثمرين من الشركة العملاقة IBM، وذا اللقاء من شأنه أن يحدد مستقبل مايكروسوفت، فلمَّا وصل تنبَّه إلى نسيانه أن يلبس ربطة عنقه، الأمر الذي قد يربطه بصورة سيئة ع...

اقرأ المزيد ←
أشتري الكتب الورقية لئلا أضطر لكسر حاسوبي الثمين إذا ما اعتمدت الPDF وسيلةً في القراءة

أشتري الكتب الورقية لئلا أضطر لكسر حاسوبي الثمين إذا ما اعتمدت الPDF وسيلةً في القراءة

أشتري الكتب الورقية لئلا أضطر لكسر حاسوبي الثمين إذا ما اعتمدت الPDF وسيلةً في القراءة. أما الكتاب الملموس فبوسعك أن تمزقه أو أن ترميه من النافذة حالما ضاقت بك الأفهام ذرعا

اقرأ المزيد ←

البودكاست المفيد قد يقدِّم لك ضيفُه ما يفيد وترغب من وراء ذلك أن تستزيد، وفي الن...

البودكاست المفيد قد يقدِّم لك ضيفُه ما يفيد وترغب من وراء ذلك أن تستزيد، وفي النهاية يريد أن يبيعك شيئا، كان فكرةً، أو خبرة. لكنَّ شخصيات مواقع التواصل المؤثرة (Influencers) التي ليس عندها إلا متابعون...

اقرأ المزيد ←
"الفَرَس تعرف أنك لا تحسن قيادَها"

قبل يومين عنَّ لي أن أركب فرَسًا، قال لي سائ...

"الفَرَس تعرف أنك لا تحسن قيادَها" قبل يومين عنَّ لي أن أركب فرَسًا، قال لي سائ...

"الفَرَس تعرف أنك لا تحسن قيادَها" قبل يومين عنَّ لي أن أركب فرَسًا، قال لي سائسها أنني لن أستطيع سَومَها، إلا أنني عاندت رأيَه. فأن تمشي معك الفرس شيء، وأن تُسرِع بها شيء آخر، توالت دقائق طويلة من غ...

اقرأ المزيد ←
كان نيوتن يتوصل إلى اكتشافات بوسعها أن تقلب الدنيا رأسا على عقب، وعلى الرغم من ذ...

كان نيوتن يتوصل إلى اكتشافات بوسعها أن تقلب الدنيا رأسا على عقب، وعلى الرغم من ذ...

كان نيوتن يتوصل إلى اكتشافات بوسعها أن تقلب الدنيا رأسا على عقب، وعلى الرغم من ذلك يلقي بكشوفاته تحت السرير. من أشد الأمثلة الصادمة، اشتغاله على قضايا تخص الكالكولس في أطروحة كتبها بعنوان: "The Method...

اقرأ المزيد ←
"لا تعذلني يا صاحبي، إن قلت لك إن السخرية من الأديان هي —في آن— علامة على محدودي...

"لا تعذلني يا صاحبي، إن قلت لك إن السخرية من الأديان هي —في آن— علامة على محدودي...

"لا تعذلني يا صاحبي، إن قلت لك إن السخرية من الأديان هي —في آن— علامة على محدودية العقل وعلى عسف في الحكم" ~ شوبنهاور، الدين بوصفه ميتافيزيقا شعبية، ترجمة جلال العاطي ربي، دار الرافدين، ص18.

اقرأ المزيد ←

هذا الرجل يحاول سياقة الفاهمة، لكنه أخطأ لمَّا اختار شوبنهاور كهدف يستعرض من خلاله، وأين

هذا الرجل يحاول سياقة الفاهمة، لكنه أخطأ لمَّا اختار شوبنهاور كهدف يستعرض من خلاله، وأين؟ في "رسالة دكتوراة"، فلأبيِّن الآن مستوى رسائل الدكتوراة الفلسفية لأمثال هؤلاء: ‏"إذن السبب ليس هو التأثر كما ...

اقرأ المزيد ←

ما يحتاجه كثير من الناس، ليس حجة دامغة، أو دليلا رصينا، بل طبيب جراحة يشق رؤوسهم...

ما يحتاجه كثير من الناس، ليس حجة دامغة، أو دليلا رصينا، بل طبيب جراحة يشق رؤوسهم ويصلح عطب الشرايين التي تغذي الدماغ. فَحمْلُ العديد من الشخوص محملَ جدٍّ يؤذيهم، إن المهرج يريد من غيره أن يضحك عليه، ل...

اقرأ المزيد ←

حلم لايبنتز Leibniz's dream، والسعي نحو لغة رياضية عالمية تحلّ جميع الخلافات الب...

حلم لايبنتز Leibniz's dream، والسعي نحو لغة رياضية عالمية تحلّ جميع الخلافات البشرية عبر حسابات منطقية محضة إن حلمَ لايبنتز مفهومٌ ذو وجوه عديدة يَشبِك تصوّره للغة عالمية characteristica universalis...

اقرأ المزيد ←

التأدُّب سلاحٌ يستخدمه السَّفَلة لإقرار مضامين وَقِحَة، وحينما يصبح الأدب ورقة ض...

التأدُّب سلاحٌ يستخدمه السَّفَلة لإقرار مضامين وَقِحَة، وحينما يصبح الأدب ورقة ضاغطة لتمرير الأفكار الرخيصة، فإن من ذكاء المرء أن يكون وقحا بقدر ما يكون غيره أديبا

اقرأ المزيد ←

في المؤسسات فإن حرية التعبير لا حدود لها، إلا إذا تعارض التعبير مع حرية المؤسسة...

في المؤسسات فإن حرية التعبير لا حدود لها، إلا إذا تعارض التعبير مع حرية المؤسسة في بَسْط نفوذها واستدامة سطوتها وإحكام سيطرتها. فعلى شاكلة من الشاكلات فإن المؤسسة سترمي لروَّادها طُعومًا زائفة، ليتحد...

اقرأ المزيد ←

الشاب يظن نفسه روميو، والفتاة تظن نفسها جولييت، وعلى هذا الأساس أجد -كثيرا- حينم...

الشاب يظن نفسه روميو، والفتاة تظن نفسها جولييت، وعلى هذا الأساس أجد -كثيرا- حينما أنزل للشارع شابا طولا بعرض وقد رفع صوت سماعات سيارته بأغنية عن لوعة الفراق والحب الأبدي المهدور، على فرض أنه مكتئب وعم...

اقرأ المزيد ←

الشاب الذي يظهره الفيسبوك لنا في الريلز وهو يرقص ويهز خاصرته، أو يمارس الألعاب ا...

الشاب الذي يظهره الفيسبوك لنا في الريلز وهو يرقص ويهز خاصرته، أو يمارس الألعاب التافهة مع الفتيات، هو أكبر مثال على الشخصية البئيسة التي كشف عنها الستارَ هذا العصرُ، وهو حالة واقعية تُعلِّمنا كيف أن ا...

اقرأ المزيد ←

السينما والروايات أمران وضعا في عقول الشباب والشابات أوهاما لا سبيل إلى إلغائها...

السينما والروايات أمران وضعا في عقول الشباب والشابات أوهاما لا سبيل إلى إلغائها إلا بالتجارب العنيفة التي تزلزل كياناِتهم زلزلةً، وحتى تينك التجارب ليست كفيلةً بضمان إخراجهم من أوهامهم الغارقين فيها. ...

اقرأ المزيد ←
قال عروة بن الورد:

لَيسَ وَرائي أَن أَدِبَّ عَلى العَصا ●●●● فَيَشمَتَ أَعدائي...

قال عروة بن الورد: لَيسَ وَرائي أَن أَدِبَّ عَلى العَصا ●●●● فَيَشمَتَ أَعدائي...

قال عروة بن الورد: لَيسَ وَرائي أَن أَدِبَّ عَلى العَصا ●●●● فَيَشمَتَ أَعدائي وَيَسأَمُني أَهلي رَهينَةُ قَعرِ البَيتِ كُلَّ عَشِيَّةٍ ●●●● يُطيفُ بِيَ الوِلدانُ أَهدُجُ كَالرَألِ أَقيموا بَني لُب...

اقرأ المزيد ←

بعض الناس يريد مني كتابا منشورا أو شهادة دكتوراة لكي أتحدث فيما أتحدث فيه، وأقول...

بعض الناس يريد مني كتابا منشورا أو شهادة دكتوراة لكي أتحدث فيما أتحدث فيه، وأقول لهؤلاء: أطوَلُ أصابعكم الاصبع الأوسط، ركزوا فيه؛ وأنا من عندي أقول لكم: خذوا. ولكي أطمئن كثيري الشك، أصحاب مقولة أنني ...

اقرأ المزيد ←

إذا ما تعرضت بنقدٍ لفكرة أو مؤسسة، فإنَّ مِن الجُهَّال مَن لا يُحصَون عددا، سيتع...

إذا ما تعرضت بنقدٍ لفكرة أو مؤسسة، فإنَّ مِن الجُهَّال مَن لا يُحصَون عددا، سيتعرضون لك بأن فيك كبرا وغرورا وأنْ ليس عندك من البضاعة سوى النقد، هؤلاء هم أنفسهم الذين سيغضون الطرف تماما عنك، بل وقد يمت...

اقرأ المزيد ←
"ومن الحماقة التعلُّق بالكلمات والعبارات وتكوين الفهم بناءً عليها

"ومن الحماقة التعلُّق بالكلمات والعبارات وتكوين الفهم بناءً عليها

"ومن الحماقة التعلُّق بالكلمات والعبارات وتكوين الفهم بناءً عليها. الأمر أشبه بمحاولة ضرب القمر بعصا، أو حكّ الحذاء لأن ثمة حكاك في القدم، لا علاقة لهذا بالحقيقة" ~ مومون (1183-1260)، معلِّم الزن، ال...

اقرأ المزيد ←

الادعاء بأن نيوتن سرق ما أتى به عن الجاذبية من علماء المسلمين ادعاءٌ أخرق مُغرِق...

الادعاء بأن نيوتن سرق ما أتى به عن الجاذبية من علماء المسلمين ادعاءٌ أخرق مُغرِقٌ في السفاهة وقلة الاطلاع وانعدام الفهم، وأقول لهؤلاء الذين في رؤوسهم أكوامٌ من العاطفة بدلا من الدماغ، أن يتعبوا أنفسهم...

اقرأ المزيد ←

ومع الوقت هتلاقي الداتا سنترز بتتعمل في دول مافيش للإنسان تمن فيها زي أفريقيا وآ...

ومع الوقت هتلاقي الداتا سنترز بتتعمل في دول مافيش للإنسان تمن فيها زي أفريقيا وآسيا بالظبط زي صناعات الأسمنت والسيراميك كده. لغاية ما تحصل كارثة كونية جميلة تخلي حبايبنا دول يراجعوا نفسهم ويفكروا في م...

اقرأ المزيد ←

خبر مهم النهارده في التك ومحتاج تسمع عنه: إينفيديا قيمتها حاليا بقت أكبر من أماز...

خبر مهم النهارده في التك ومحتاج تسمع عنه: إينفيديا قيمتها حاليا بقت أكبر من أمازون وألفابيت (الشركة بتاعة جوجل) ! لو أول مرة تسمع عن إينفيديا= فمش محتاج تعرف أكتر من إنها شركة مكونة حاليا من 26 ألف م...

اقرأ المزيد ←
حينما كان يحاول تحضير كأس من الشاي، وضع إسحق نيوتن قطعة من الذهب (Half guinea) -...

حينما كان يحاول تحضير كأس من الشاي، وضع إسحق نيوتن قطعة من الذهب (Half guinea) -...

حينما كان يحاول تحضير كأس من الشاي، وضع إسحق نيوتن قطعة من الذهب (Half guinea) -وقد كانت ثمينة جدا في ذلك الحين- على النار بدلا من الإبريق. ومرةً كان يكتب تحت ضوء الشموع، وقد أخذته الساعات تتلوها ساع...

اقرأ المزيد ←

لا العمل الشاق (Hard work) ولا غيره يتفوق على الذكاء، وهذا الأخير لديه ما يدحره أيضا

لا العمل الشاق (Hard work) ولا غيره يتفوق على الذكاء، وهذا الأخير لديه ما يدحره أيضا. فأمران رئيسَان يتفوقان على كلٍّ مِن الذكاء والعمل الشاق، وهما الجراءة والاستمرارية؛ حتى أن الجراءة تعلو على الاست...

اقرأ المزيد ←

اليوم ارتشفت القهوة بدلا من احتسائها، أحد الأصدقاء لاحظ ذلك، وقد كان يحتسي القهو...

اليوم ارتشفت القهوة بدلا من احتسائها، أحد الأصدقاء لاحظ ذلك، وقد كان يحتسي القهوة ولا يرتشفها، فوقعنا في حيص بيص أيُّنا أكثر ثقافةً، حتى ظهر بيننا من يضع على بروفايله أنه كاتب حزين ومبرمج وحيد وروح ضا...

اقرأ المزيد ←
قال المعلم نوشيغي: 《إن قوة الساموراي تنبع من يأسه، لا يستطيع عشرة رجال أو أكثر ق...

قال المعلم نوشيغي: 《إن قوة الساموراي تنبع من يأسه، لا يستطيع عشرة رجال أو أكثر ق...

قال المعلم نوشيغي: 《إن قوة الساموراي تنبع من يأسه، لا يستطيع عشرة رجال أو أكثر قتل رجل كهذا، إن المنطق العام لا يستطيع إنجاز أمور عظيمة. فلتصبح ببساطة مجنونا ويائسا》 ~ هاغاكوري: كتاب الساموراي، يامام...

اقرأ المزيد ←
أحسب في أحايين كثيرة أنَّ جزءًا مما يَعِنُّ لي ولا أنشره، فيه من الخير واللياقة...

أحسب في أحايين كثيرة أنَّ جزءًا مما يَعِنُّ لي ولا أنشره، فيه من الخير واللياقة...

أحسب في أحايين كثيرة أنَّ جزءًا مما يَعِنُّ لي ولا أنشره، فيه من الخير واللياقة الكثير، مع ذلك لا أنشره؛ ليس لأنه دُونٌ أو قميئ، ولا لأنه ضحل لا يصلح، بل لأن في تحسينه والتحفظ عليه إلى حين خيرٌ أعظم، ...

اقرأ المزيد ←

لكي لا تسمع إجابات غبية على أسئلتك، فاعرفْ مَن تسأل

لكي لا تسمع إجابات غبية على أسئلتك، فاعرفْ مَن تسأل. جُل الناس عندهم مرض إعطاء النصائح عن جنب وطرف، فتراهم يدلون بدلوهم في أية قضية وكل مسألة، ويهوون لعب دور الحكماء، وأكثر ما يقدمون النصح فيه يقع ضمن...

اقرأ المزيد ←

لمَّا أصدر مارك زوكربيرغ فيسبوك عام 2004، فإن عدد الأسطر البرمجية في تطبيقه النا...

لمَّا أصدر مارك زوكربيرغ فيسبوك عام 2004، فإن عدد الأسطر البرمجية في تطبيقه الناشئ -على التقدير- كانت بضع من عشرات الآلاف، إلى أن حصلت القفزة المهولة عام 2014 بتسجيل 9.9 مليون سطر برمجي، وآخر إحصاء أع...

اقرأ المزيد ←
خطة A: اكتب كود شغالًا ونظيفا ويفهمه غيرك من المبرمجين 

خطة B: اكتب كود شغالا و...

خطة A: اكتب كود شغالًا ونظيفا ويفهمه غيرك من المبرمجين خطة B: اكتب كود شغالا و...

خطة A: اكتب كود شغالًا ونظيفا ويفهمه غيرك من المبرمجين خطة B: اكتب كود شغالا ونظيفا لا يفهمه أحد غيرك خطة C: اكتب كود غير شغال وغير نظيف وحتى أنت لا تفهمه خطة D: ألقِ اللوم على مستخدمي تطبيقك، ببس...

اقرأ المزيد ←
وقتما استحوذت عليّ فكرة، بدأتُ الاشتغال والعمل، وما أن أتمكن من أطرافها وجوانبها...

وقتما استحوذت عليّ فكرة، بدأتُ الاشتغال والعمل، وما أن أتمكن من أطرافها وجوانبها...

وقتما استحوذت عليّ فكرة، بدأتُ الاشتغال والعمل، وما أن أتمكن من أطرافها وجوانبها، حتى أنقلب انقلابا هو مِن الشدة الكافية لقلب العاقل مجنونا؛ إذ تبدأ كل الخواطر السلبية والهواجس الوسواسية بغزو عقلي، فل...

اقرأ المزيد ←

الذي يُعطِّل القوم عن مشاريعهم ليس بوحَهم بها في حد ذاته، بل تأثر نفوسهم بعلم غي...

الذي يُعطِّل القوم عن مشاريعهم ليس بوحَهم بها في حد ذاته، بل تأثر نفوسهم بعلم غيرهم بما ينوون، فالأثر الذي يتركه علم الغير بالمخططات، في مجمله سيء، إذ أن الناس من غير داعٍ يتأثرون بنظرة الآخرين فيهم، ...

اقرأ المزيد ←

رَ، يمكنك أن تبني صخرا على زجاج، لكنه إما أن يخدعك منتصفَ البناء أو ينكسر بعد ال...

رَ، يمكنك أن تبني صخرا على زجاج، لكنه إما أن يخدعك منتصفَ البناء أو ينكسر بعد الانتهاء فلا تجني شيئا؛ ولذا فإن الدراسة الحقة لعلم الحوسبة يجب أن تبدأ من الرياضيات، لن تحتاج أن تكون رياضياتيا، ولكن يلز...

اقرأ المزيد ←

في هذه القاعة 80 طالبا؛ الكل منشغل بالتصفيق لحضرة البروفيسور، إلا أن صديقَنا الص...

في هذه القاعة 80 طالبا؛ الكل منشغل بالتصفيق لحضرة البروفيسور، إلا أن صديقَنا الصدوق، صاحبَنا الحذوق، أحمد محاريق، الفيزيائيّ الألمعيّ، لم يصفق، ولا أخاله يصفق وإن أعطوه جائزة نوبل لله درك يا أحمد! لم...

اقرأ المزيد ←
"وهكذا يخرج إلى العالم، كل ثلاثين عاما، جنس جديد من الصغار الذي لا يعرفون شيئا ع...

"وهكذا يخرج إلى العالم، كل ثلاثين عاما، جنس جديد من الصغار الذي لا يعرفون شيئا ع...

"وهكذا يخرج إلى العالم، كل ثلاثين عاما، جنس جديد من الصغار الذي لا يعرفون شيئا عن أي شيء، ممن يطمحون في أن يعتبرهم الناس أكثر براعة من كل من سبقوهم، لمجرد أنهم ازدردوا بعض نتاج المعرفة الإنسانية التي ...

اقرأ المزيد ←

أستوعب -إلى حد ما- أي طالب مغفل يدافع عن النظام الجامعي ويتعامل معه على أنه البي...

أستوعب -إلى حد ما- أي طالب مغفل يدافع عن النظام الجامعي ويتعامل معه على أنه البيئة التي نوَّرَته ووسَّعت أفقه، كذلك بوسعي تحمُّل الأساتيذ الذين لا علاقة لهم بالأستاذية مهما أبدوا من جهالات، لكنني لا أ...

اقرأ المزيد ←
برعاية مسرح شكسبير للرياضيات الراقصة:

"من يؤمن بأن الأعداد ليس لها نهاية فمن غي...

برعاية مسرح شكسبير للرياضيات الراقصة: "من يؤمن بأن الأعداد ليس لها نهاية فمن غي...

برعاية مسرح شكسبير للرياضيات الراقصة: "من يؤمن بأن الأعداد ليس لها نهاية فمن غير المعقول أن يكون إيمانه بالله صحيحا، لأنه يؤمن بوجود كيانين لانهائيين، الله والأعداد وهو بذلك يقترف صفة من الشرك"

اقرأ المزيد ←

ما هذا النظام الجامعي البائس الذي يقضي فيه بعض الطلاب أربع سنوات من حيَوَاتهم يد...

ما هذا النظام الجامعي البائس الذي يقضي فيه بعض الطلاب أربع سنوات من حيَوَاتهم يدرسون ويتدارسون ويحفظون ويسمِّعون ويتقدمون للامتحانات، ثم يدفعون 100$ لفريق من المرتزقة* يقوم بعمل مشروع التخرج عنهم؟ هل ...

اقرأ المزيد ←
"إذا كانت P = NP، فإن العالم بأسره سيغدو مكانا مختلفا عما هو عليه

"إذا كانت P = NP، فإن العالم بأسره سيغدو مكانا مختلفا عما هو عليه

"إذا كانت P = NP، فإن العالم بأسره سيغدو مكانا مختلفا عما هو عليه. لن تكون هنالك قيمة للقفزات الإبداعية، ولن تُوجد هُوَّة بين حل مشكلةٍ والتعرف على حلها وقتما وُجد. كل شخص يستطيع تقدير السيمفونيات سيك...

اقرأ المزيد ←
"إذا كان ابن تيمية على حق، فإن كثيرًا من المفكرين الذين هاجمهم، لا يفهمون، أنهم...

"إذا كان ابن تيمية على حق، فإن كثيرًا من المفكرين الذين هاجمهم، لا يفهمون، أنهم...

"إذا كان ابن تيمية على حق، فإن كثيرًا من المفكرين الذين هاجمهم، لا يفهمون، أنهم بأنفسهم قاموا بتدمير إمكانية اتخاذ المواقف التي اتخذوها" ~ أوليفر ليمن، الفلسفة الإسلامية والهجوم على المنطق (ورقة بحثي...

اقرأ المزيد ←
خاطرة قصيرة حول تداول العملات المشفرة، كما يظهر في الصورة، تداولت في سوق الكريبت...

خاطرة قصيرة حول تداول العملات المشفرة، كما يظهر في الصورة، تداولت في سوق الكريبت...

خاطرة قصيرة حول تداول العملات المشفرة، كما يظهر في الصورة، تداولت في سوق الكريبتو 11,559 مرة عام 2022، وعام 2023 انخفض زخم التداول إلى 6,405؛ أي إلى النصف تقريبا. كنت أتداول باستخدام التحليل الفني Te...

اقرأ المزيد ←

رَ، بدايةً أنا أفكر أكثر مما أقرأ؛ بمعنى، الوقت الذي أقضيه في التفكير من غير فعل...

رَ، بدايةً أنا أفكر أكثر مما أقرأ؛ بمعنى، الوقت الذي أقضيه في التفكير من غير فعل شيء، أوسعُ من وقت القراءة، أذكر في واحدة من المرات، 6 شهور من العطلة كاملةً لم أقرأ فيها ولم أفعل شيئا غير المشي في الج...

اقرأ المزيد ←

رَ، اختصاص شخص ما في علم الحاسوب لا يفترض منه مهارة معينة في التعامل مع المسائل...

رَ، اختصاص شخص ما في علم الحاسوب لا يفترض منه مهارة معينة في التعامل مع المسائل البرمجية على مواقع مثل codeforces أو Leetcode، طبيعة المسائل البرمجية التنافسية هناك خيالية ولا تعالج مشكلات واقعية، بل ...

اقرأ المزيد ←

ذاكرتي قصيرة المدى جدُّ ضعيفة، وضعفها ناجم عن الشكل الذي يأخذه التركيز عندي، ليس...

ذاكرتي قصيرة المدى جدُّ ضعيفة، وضعفها ناجم عن الشكل الذي يأخذه التركيز عندي، ليس بسبب الحافظة؛ بحيث إذا وضعت القلم في جيبي أنساه وأبدأ في البحث عنه هنا وهناك، ولا أكاد أعرف في أي يوم من الأسبوع نحن، إ...

اقرأ المزيد ←

ما الذي قد يدفع بمهندس معالجة لغة طبيعية NLP ومشتغل بالذكاء الاصطناعي أن يسخر وي...

ما الذي قد يدفع بمهندس معالجة لغة طبيعية NLP ومشتغل بالذكاء الاصطناعي أن يسخر ويضحك -غير مصدِّقٍ- على استلهام ابن تيمية في مسائل حاسوبية؟ أحد الأصدقاء هنا عمل مشاركة لمنشور ابن تيمية والذكاء الاصطناع...

اقرأ المزيد ←

لم أشاهد في حياتي مباراة كرة قدم واحدة، ولن أفكر في مشاهدتها

لم أشاهد في حياتي مباراة كرة قدم واحدة، ولن أفكر في مشاهدتها. إلا أنني قد أشاهدها لسبب واحد؛ بدافع اختبار نظرية الألعاب Game Theory وتطبيقها عليها في مباريات كرة القدم، أو أي شكل آخر من المباريات، فإ...

اقرأ المزيد ←

الجامعات لا تفرق عن الشركات الاستثمارية، سوى أن الأخيرة لا تعِدُك بشيء بعد أن تش...

الجامعات لا تفرق عن الشركات الاستثمارية، سوى أن الأخيرة لا تعِدُك بشيء بعد أن تشتري، وفي حين أنك تدفع أموالا للجامعة، فإنها تقدم لك وعودا لا تنقطع؛ تحصيل العلم وتحصيل الرزق بذلك العلم، إلا أنها تفشل ف...

اقرأ المزيد ←

أيدسكر دايكسترا، ألمعُ ألمَعِيي علماء الحوسبة في التاريخ، قام بحل مشكلة أقصر طري...

أيدسكر دايكسترا، ألمعُ ألمَعِيي علماء الحوسبة في التاريخ، قام بحل مشكلة أقصر طريق ممكنة Shortest path problem، خلال 20 دقيقة وهو جالس في مقهى مع خطيبته، وفي رأسه دون استخدام ورقة وقلم كانت خطيبته قد...

اقرأ المزيد ←
ذكر جديد لابن تيمية من قبل عالِم الحاسوب جون سُوَا، وهذه المرة إشارة صريحة، وكلا...

ذكر جديد لابن تيمية من قبل عالِم الحاسوب جون سُوَا، وهذه المرة إشارة صريحة، وكلا...

ذكر جديد لابن تيمية من قبل عالِم الحاسوب جون سُوَا، وهذه المرة إشارة صريحة، وكلام واضح، لمبدأ يُستخدَم في الذكاء الاصطناعي، وأن ابن تيمية هو أول من صاغه في ورقته البحثية: "The Challenge of Knowledge ...

اقرأ المزيد ←

1- الجدوى من دراسة المنطق الأرسطي، أو دراسة الأبانشيد Upanishads الهندوسية، أمور...

1- الجدوى من دراسة المنطق الأرسطي، أو دراسة الأبانشيد Upanishads الهندوسية، أمور لا يمكن لي أن أحددها لك أو أقررها عنك، الآن، أنا درست المنطق الأرسطي لأنَّ لي من وراءه غايات أبتغي وصولها، لذلك، "الجدو...

اقرأ المزيد ←

في الصورة كتاب "فن برمجة الحاسوب" أضخم الكتب على الإطلاق في علم الحاسوب، وليس كا...

في الصورة كتاب "فن برمجة الحاسوب" أضخم الكتب على الإطلاق في علم الحاسوب، وليس كاملا بعد، إذ بدأ دونالد كنوث -المؤلِّف- عامَ 1962 كتابة الكتاب، إلى اليوم عندنا خمسة مجلدات، وحسب خطة التأليف لا زالت هنا...

اقرأ المزيد ←

خلَّصت قراءة مجموع أوراق الرياضياتي والمنطقي والفيلسوف تشارلز بيرس، والذي نشرته...

خلَّصت قراءة مجموع أوراق الرياضياتي والمنطقي والفيلسوف تشارلز بيرس، والذي نشرته صحافة جامعة هارفرد، يقع في ثمانية مجلدات بما يعادل 3800 صفحة، وهذه السلسلة أوسع وأشمل من The Essential Peirce. الاطلاع ...

اقرأ المزيد ←

سبق وبيَّنت على حسابي القديم استلهام عالِم الحاسوب جون سُوَا لبعض من مقاربات ابن...

سبق وبيَّنت على حسابي القديم استلهام عالِم الحاسوب جون سُوَا لبعض من مقاربات ابن تيمية المنطقية في تطوير أنظمة حاسوبية تشتغل من خلال القياس، والآن، لأبين لماذا بالذات ابن تيمية نظام VivoMind Analogy ...

اقرأ المزيد ←

الضوضاء تزعجني، أكرهها أكثر من أي شيء آخر؛ أكون في نعمة من الله إذ أقرأ وأدوِّن...

الضوضاء تزعجني، أكرهها أكثر من أي شيء آخر؛ أكون في نعمة من الله إذ أقرأ وأدوِّن أو أفكر بهدوء بارد كالثلوج، وغليان حامٍ كالبراكين، إلى أن يبدأ الناس بالتوقف عن كونهم من البشر، فتسمع شلةً في الشارع لا ...

اقرأ المزيد ←

في الصورة عالم الحاسوب ريتشارد ستولمن، هذا الرجل لم يستخدم في حياته كلها أي هاتف...

في الصورة عالم الحاسوب ريتشارد ستولمن، هذا الرجل لم يستخدم في حياته كلها أي هاتف محمول سواء هاتف ذكي أو غيره، ولا يستخدم Google، ولا Intel، ولا Microsoft، ولا Apple، ولا Facebook، ولا Amazon. ويشجع ال...

اقرأ المزيد ←

دردشة وددت أن أقولها قبل تسجيل الخروج كما ترون في الصورة، العدد 60956 يمثل الأس...

دردشة وددت أن أقولها قبل تسجيل الخروج كما ترون في الصورة، العدد 60956 يمثل الأسطر البرمجية التي كتبتها منذ اشتريت حاسوبي الحالي قبل سنة بالضبط، في ست لغات برمجية: سي بلس بلس ++C، ورست Rust، وهاسكل Ha...

اقرأ المزيد ←

أول ما يأتيني جليسا مِن غامض الأفكار البوارق، فإذا قمت ومشيت استحالت كالصواعق، ح...

أول ما يأتيني جليسا مِن غامض الأفكار البوارق، فإذا قمت ومشيت استحالت كالصواعق، حتى إذا أسرعتُ وضغطتْ رجلاي الأرض ضغطا تصيَّرتْ فُرادى كالمفارق، فأجمعها إذ ذاك واضحةً بَيِّنة المعالم والمَطارق، إلى أن ...

اقرأ المزيد ←
لا يمر شتاءٌ إلا قنيتُ فيه ما يورِث قيظَ الصيف، ولا يمر صيف إلا اشتريت فيه ما يو...

لا يمر شتاءٌ إلا قنيتُ فيه ما يورِث قيظَ الصيف، ولا يمر صيف إلا اشتريت فيه ما يو...

لا يمر شتاءٌ إلا قنيتُ فيه ما يورِث قيظَ الصيف، ولا يمر صيف إلا اشتريت فيه ما يورث شَبَمَ الشتاء، فالشتاء عندي قائظ على النفس خفيف، والصيف إذ ذاك شَبِمٌ لطيف. أما الPDF فهو يزيد عيوني تعبا، وعادتي أن ...

اقرأ المزيد ←
يُروى عن فولتير أنه لمَّا كان على فراش الموت جاءه قسيس فقال له أن يلعن الشيطان،...

يُروى عن فولتير أنه لمَّا كان على فراش الموت جاءه قسيس فقال له أن يلعن الشيطان،...

يُروى عن فولتير أنه لمَّا كان على فراش الموت جاءه قسيس فقال له أن يلعن الشيطان، فرد عليه فولتير: "هذا ليس الوقت المناسب لتكوين أعداء يا عزيزي". من ينقل رواية أن ماركس أسلم قبل موته فلينقل رواية فولتير...

اقرأ المزيد ←

هل يمكن برمجة الحاسوب ليكتب شعرا موزونا، وذا معنى

هل يمكن برمجة الحاسوب ليكتب شعرا موزونا، وذا معنى؟ الشق الأول من السؤال جوابه نعم؛ وأستطيع خلال عشر دقائق أن أكتب برنامجا عبر أي لغة برمجة يقوم بكتابة الشعر، ويخضع لأي بحر من البحور، تصوّرْ من البحر ...

اقرأ المزيد ←

هل يمكن أن نبرمج الحاسوب بحيث يميز النصوص البليغة من غيرها

هل يمكن أن نبرمج الحاسوب بحيث يميز النصوص البليغة من غيرها؟ نعم، ولست أدري ماذا يمنع بُحَّاث الذكاء الاصطناعي العرب المتخصصين تحديدا في معالجة اللغة الطبيعية NLP من أن يمضوا قُدما نحو تحقيق ذلك! ولكن...

اقرأ المزيد ←
أعرفُ فَخارَ الشعر بثلاث: بما أحفظ منه، وبقولي إياه -وإن كان لا زال بدائيا- وباش...

أعرفُ فَخارَ الشعر بثلاث: بما أحفظ منه، وبقولي إياه -وإن كان لا زال بدائيا- وباش...

أعرفُ فَخارَ الشعر بثلاث: بما أحفظ منه، وبقولي إياه -وإن كان لا زال بدائيا- وباشتغالي عليه رياضيا وحاسوبيا. وإثر شيء من وقت الفراغ، نفَّذتُ -من باب التسلية- عمليةً حاسوبية على 10 آلاف بيت من الشعر، ف...

اقرأ المزيد ←
لولا صفاء الذهن لما استطعت أن أفكر وأقرأ وأدوِّن باستمرارٍ شبه يوميّ، ولا يصفو ذ...

لولا صفاء الذهن لما استطعت أن أفكر وأقرأ وأدوِّن باستمرارٍ شبه يوميّ، ولا يصفو ذ...

لولا صفاء الذهن لما استطعت أن أفكر وأقرأ وأدوِّن باستمرارٍ شبه يوميّ، ولا يصفو ذهني إلا باجتناب المشتتات واعتزال الملهيات، ومن جملة المشتتات الانترنت وما يجيء معه من يوتيوب وغيره، فهأنذا هنا مثلا أستخ...

اقرأ المزيد ←

"عن محمد بن عبد الله الحافظ -بإسناده- قال: سمعت داود بن علي يقول: كنت عند أبي ثَ...

"عن محمد بن عبد الله الحافظ -بإسناده- قال: سمعت داود بن علي يقول: كنت عند أبي ثَوْرٍ إذ دخل عليه رجل فقال: يا أبا ثور. أما ترى هذه المصيبة التي نزلت بالناس؟ قال: وما هي؟ قال: يقولون: إن الثوري أفقه من...

اقرأ المزيد ←
هكذا تجري استضافة "الكتَّاب المبدعين"

س: هل ممكن "بدر رمضان" تعرف متابعينا على نفسها

هكذا تجري استضافة "الكتَّاب المبدعين" س: هل ممكن "بدر رمضان" تعرف متابعينا على نفسها

هكذا تجري استضافة "الكتَّاب المبدعين" س: هل ممكن "بدر رمضان" تعرف متابعينا على نفسها؟ ج: اسمي بدر رمضان، عمري 30 سنه، خريجة دراسات إسلامية قسم عقيدة وفلسفة س: مَن مِن الكتاب تهوى "بدر" متابعته؟ ج: ل...

اقرأ المزيد ←

"عن أبي محمد بن الفضل البزاز قال: حججت مع أحمد بن حنبل، فنزلنا في مكان واحد، أو...

"عن أبي محمد بن الفضل البزاز قال: حججت مع أحمد بن حنبل، فنزلنا في مكان واحد، أو في دار -يعني بمكة- وخرج أبو عبد الله -يعني أحمد بن حنبل- باكرا، وخرجت أنا معه، فلما صلينا الصبح درت المجلس فجئت مجلس سف...

اقرأ المزيد ←

قلتُ، من الوافر: إذا ما المرء لم يُهْمِمْ بنقدٍ ●●●● أديبٍ قيلَ شرٌّ مستطيرُ و...

قلتُ، من الوافر: إذا ما المرء لم يُهْمِمْ بنقدٍ ●●●● أديبٍ قيلَ شرٌّ مستطيرُ وإن جاء الخَصِيُّ بقول عُتهٍ ●●●● أديبٍ قيل فكرٌ مستنيرُ فما حد التأدب خَبِّروني ●●●● إذا ما العلم خَصَّته الحميرُ فَإِ...

اقرأ المزيد ←

"عن أبي منصور بن أبي محمد الفقيه قال: سمعت بعض فقهائنا يقول: بلغني أن الشافعي سُ...

"عن أبي منصور بن أبي محمد الفقيه قال: سمعت بعض فقهائنا يقول: بلغني أن الشافعي سُئل: أيجوز أن يتزوج الرجل على بيت شعر؟ قال: إذا كان البيت مثل هذا فنعم: يريد المرء أن يعطى مناه ●●●● ويأبى الله إلا ما أر...

اقرأ المزيد ←

"دخل رجل على الشافعي رضي الله عنه وهو مستلق على ظهره فقال: إن أصحاب أبي حنيفة الفُصَحاء

"دخل رجل على الشافعي رضي الله عنه وهو مستلق على ظهره فقال: إن أصحاب أبي حنيفة الفُصَحاء. قال: فاستوى الشافعي جالسا وأنشأ يقول: فلولا الشعر بالعلماء يزري ●●●● لكنتُ اليوم أشعَرَ من لَبيدِ وأشجعَ في الو...

اقرأ المزيد ←

هذا جزء من مناظرة بين ملحد 'متخصص في التاريخ الإسلامي'، و'متخصص في العقيدة والفلسفة الإسلامية'

هذا جزء من مناظرة بين ملحد 'متخصص في التاريخ الإسلامي'، و'متخصص في العقيدة والفلسفة الإسلامية'. يُقال أن من ذكاء المرء أن يختار من الخصوم خصما قويا ليناظره، فمثلُ هذا لا يناظَر.

اقرأ المزيد ←

وقتَ حسابي القديم لمَّا كنت أُكْثِر من النشر عن رد ابن تيمية على المنطقيين، أحد...

وقتَ حسابي القديم لمَّا كنت أُكْثِر من النشر عن رد ابن تيمية على المنطقيين، أحد معارفي الذي لا يعرف عني سوى أنني شديد التقريع، رآني فقال لي: "مالك ولابن تيمية؟ هذا عالِم!" فقلت له: "ومالي؟" قال: "حتى ...

اقرأ المزيد ←

"سمعت الأصمعي يقول: قرأت شعر الشنفرى على علَّامة يقال له: محمد بن إدريس الشافعي

"سمعت الأصمعي يقول: قرأت شعر الشنفرى على علَّامة يقال له: محمد بن إدريس الشافعي. فأنشدني لثلاثين شاعرا أساميهم: عَمْرو." "سمعتُ الشافعي يقول: أروي لثلاثمئة شاعر مجنون" ~ مناقب الشافعي، أبو بكر أحمد...

اقرأ المزيد ←

"أخبرنا أبو عبد الله الحافظ، أخبرنا أبو الوليد: حسان بن محمد الفقيه، أخبرنا إبرا...

"أخبرنا أبو عبد الله الحافظ، أخبرنا أبو الوليد: حسان بن محمد الفقيه، أخبرنا إبراهيم بن محمود، وحدثني أبو سليمان -يعني داود الأصبهاني- حدثني مصعب ابن عبد الله الزبيري، قال: قرأ عليَّ محمد بن إدريس الش...

اقرأ المزيد ←

خلَّصتُ قراءة كتاب الرياضياتي والمنطقي الألماني برنارد بولتسانو، نظرية العلم The...

خلَّصتُ قراءة كتاب الرياضياتي والمنطقي الألماني برنارد بولتسانو، نظرية العلم Theory of Science، يقع في أربعة مجلدات بما يزيد عن 1800 صفحة، وهو من الكتب الأصيلة المؤسِسة في المجلد الأول عُنِيَ بولتسان...

اقرأ المزيد ←

قلتُ شعرًا في طريقي للبقالة، فحصته عند رجوعي المنزل، فإذا به موزون على البحر الوافر

قلتُ شعرًا في طريقي للبقالة، فحصته عند رجوعي المنزل، فإذا به موزون على البحر الوافر! إذا وقع الخصامُ فإن فيكم من الأطباع حُمْقٌ لا يُجارَى أَيُهْجَى داعرٌ بكريه فعلٍ ويُتْرَكُ ماكرٌ في القول دارَى ...

اقرأ المزيد ←

(2) "رغم إبداع شيخ الإسلام في نقد موقف المناطقة من التجربة، وتأسيسه بذلك للمنهج...

(2) "رغم إبداع شيخ الإسلام في نقد موقف المناطقة من التجربة، وتأسيسه بذلك للمنهج التجريبي؛ الذي تدين الحضارةُ المعاصرة له بالفضل في تقدمها" ص142 طبعا، ولكي أطمئن القارئ، لم أقتص شيئا هاهنا، لأنه لا يو...

اقرأ المزيد ←

في مناظرة أبي سعيد السيرافي مع أبي بشر متّى حول المنطق والنحو قال له: "أفتيتَ ع...

في مناظرة أبي سعيد السيرافي مع أبي بشر متّى حول المنطق والنحو قال له: "أفتيتَ على غير بصيرة ولا استبانة؛ المسألة الأولى جوابُك عنها صحيح وإن كنتَ غافلا عن وجه صحتها؛ والمسألة الثانية جوابك عنها غير ص...

اقرأ المزيد ←

ليس في هذا الكتاب نقصان -بُورِك كاتبه- بل زيادة، فلو حذف من العنوان كلمة "دراسة"، واكتفى بأنه تقريب

ليس في هذا الكتاب نقصان -بُورِك كاتبه- بل زيادة، فلو حذف من العنوان كلمة "دراسة"، واكتفى بأنه تقريب. جل الكتاب تبسيط لرد ابن تيمية، كما وضَّح في مقدمته، لكن، في المبحث السابع: "الموقف الغربي الحديث م...

اقرأ المزيد ←

معلومٌ أن العلماء يُؤثِّر بعضهم في بعض، بعلمٍ حقيق ورأيٍ عريق، ويطلب الطلابُ علو...

معلومٌ أن العلماء يُؤثِّر بعضهم في بعض، بعلمٍ حقيق ورأيٍ عريق، ويطلب الطلابُ علومَ مَن يفوقونهم، فذا طالبٌ يتتلمذ على هذا، وغيره يتتلمذ على ذاك، أو سواه يتتلمذ بغير ذي الطريقة، ولعلهم يختلفون عمّن يأخ...

اقرأ المزيد ←
أحد الضباط في شرطة المباحث العقدية مَخْفَر فَحْص الحسابات وخَبْص البيانات، أقول...

أحد الضباط في شرطة المباحث العقدية مَخْفَر فَحْص الحسابات وخَبْص البيانات، أقول...

أحد الضباط في شرطة المباحث العقدية مَخْفَر فَحْص الحسابات وخَبْص البيانات، أقول له: استعن بالاستخبارات فهذا ليس شغلكم في هذا المخفر، وقولك "سامحني" يدخل في شغل مخفر استقصاء النوايا وكشف السجايا، فليس ...

اقرأ المزيد ←

الماعز في الفيديو هو الذي يورِد أقوال ابن تيمية في الرياضيات، التي كانت على وقته...

الماعز في الفيديو هو الذي يورِد أقوال ابن تيمية في الرياضيات، التي كانت على وقته محصورةً في الهندسة الإقليدية وشيء من الحساب والجبر البسيطَيْن، ثم يُقحِم ما قاله ابن تيمية، في تشغيب حول الرياضيات الحد...

اقرأ المزيد ←

فكَّرت قديما ببرمجة موقع تواصل اجتماعي لا يُسمَح فيه -علميا- إلا بالمعلومات الصح...

فكَّرت قديما ببرمجة موقع تواصل اجتماعي لا يُسمَح فيه -علميا- إلا بالمعلومات الصحيحة، أي يُطرَد منه كل من يكرر الأغاليط والأكاذيب، هاهنا، ليس الغرض إقصاءَ المعلومات المغلوطة صحفيا، أو ما يتداوله الناس ...

اقرأ المزيد ←
حكيتُ شعرًا لعمرو بن كلثوم في القصة بصوتي، فأرسل أحمقُ ساخرا: "يا عميق يا خليفة...

حكيتُ شعرًا لعمرو بن كلثوم في القصة بصوتي، فأرسل أحمقُ ساخرا: "يا عميق يا خليفة...

حكيتُ شعرًا لعمرو بن كلثوم في القصة بصوتي، فأرسل أحمقُ ساخرا: "يا عميق يا خليفة نيتشه" طيب والذي يردد مقولات نيتشه، ماذا نقول له؟ هل نقول له مثلا: وسيد معشر قد توجوه ★★★★ بتاج المُلْك يحمي المحجرينا...

اقرأ المزيد ←

البعض يتخذ من الكتابة زعيقًا، فأنت إذا ما قرأت كلامه لم تجد فكرة، ولم تلقَ عبرة،...

البعض يتخذ من الكتابة زعيقًا، فأنت إذا ما قرأت كلامه لم تجد فكرة، ولم تلقَ عبرة، بل تخالُه كتب ما كتب إثرَ شجار مع الدهماء في إحدى أزقة الحي الذي يسكنه، وأول علامات الزعيق أن يبدأ عنوانه بعلامة تعجب، ...

اقرأ المزيد ←

أول 23 مرجعا في رسالة سليقة الأولين وقريحة المتأخرين، أعان الله إتمامها وسدد مرت...

أول 23 مرجعا في رسالة سليقة الأولين وقريحة المتأخرين، أعان الله إتمامها وسدد مرتجاها المراجع العربية: 1. ابن تيمية، ت. (2005). الرد على المنطقيين. مؤسسة الريان. 2. ابن تيمية، ت. (1435هـ). نقض المنط...

اقرأ المزيد ←

عند الأخ: "لا يمكن للتفلسف أن يكون إلا مثاليا، والمادي المتسق مع نفسه لا يكون متفلسفا" لماذا

عند الأخ: "لا يمكن للتفلسف أن يكون إلا مثاليا، والمادي المتسق مع نفسه لا يكون متفلسفا" لماذا؟ "لأن التفلسف يفترض ابتداءً حالة مثالية يبدأ العقل منها النظر، وهي حالة متحررة من كل قيد فيما نسميه نحن الف...

اقرأ المزيد ←

"قال رجل من القحاطِنَة لرجل من أبناء الأعاجِم: ما يقول الشعر منكم إلا من كانت أم...

"قال رجل من القحاطِنَة لرجل من أبناء الأعاجِم: ما يقول الشعر منكم إلا من كانت أمه زَنَى بها رجُلٌ مِنَّا فنَزَع إلينا. فقال له الثّنوِي: وكذلك كلُّ من لم يقل الشِّعر منكم، فإنما زَنَى بأمه رجل منّا فَ...

اقرأ المزيد ←

"عن مَكْحُول، قال: إن كان الفضل في الجماعة، فإن السلامة في العزلة

"عن مَكْحُول، قال: إن كان الفضل في الجماعة، فإن السلامة في العزلة." "عن الأوزاعي رحمه الله، قال: العافية عشرة أجزاء: تسعة أجزاء منها صمت، وجزء منها الهرب من الناس." "عن الربيع بن خثيم، قال: تفقه ثم ...

اقرأ المزيد ←
قد شرعتُ مدبَجًّا رسالةً في المنطق أسميتها "سليقة الأولين وقريحة المتأخرين في ال...

قد شرعتُ مدبَجًّا رسالةً في المنطق أسميتها "سليقة الأولين وقريحة المتأخرين في ال...

قد شرعتُ مدبَجًّا رسالةً في المنطق أسميتها "سليقة الأولين وقريحة المتأخرين في الرد على المنطقيين"، وإذ يحفِّزني إنهائي كتابَ الرد للمرة الثانية فإن معرفتي بالمنطق الحديث والرياضيّ تزيد في بأسي على الت...

اقرأ المزيد ←

في مقدمة كتابه الفوتوشوب، يصف هيثم طلعت المشروع الذي جاء به بِ"مشروع نقد الإلحاد...

في مقدمة كتابه الفوتوشوب، يصف هيثم طلعت المشروع الذي جاء به بِ"مشروع نقد الإلحاد وإثبات الإسلام"، ويقسمه إلى ثلاثة أجزاء، فيصف الأول منها بأنه "تفنيد لآراء الملحدين في الكون ونشأة الحياة، ونقد أشهر ال...

اقرأ المزيد ←
ومما يفيد الكتَّاب أكبر الفائدة، أن يدركوا أنه وإن كان ينبغي للمرء أن يفكر ما اس...

ومما يفيد الكتَّاب أكبر الفائدة، أن يدركوا أنه وإن كان ينبغي للمرء أن يفكر ما اس...

ومما يفيد الكتَّاب أكبر الفائدة، أن يدركوا أنه وإن كان ينبغي للمرء أن يفكر ما استطاع كعبقري كبير، إلا أنه يتعين عليه أن يتكلم اللغة التى يتكلمها سائر الناس، فالمؤلف يجب أن يستعمل كلمات الناس العادية، ...

اقرأ المزيد ←

بعض المناظرات عجب عجاب، تجد فيها طَرفًا يختبر معرفةَ خصمه بقضية لغوية، ليتشدق بع...

بعض المناظرات عجب عجاب، تجد فيها طَرفًا يختبر معرفةَ خصمه بقضية لغوية، ليتشدق بعدها على جهله فيها، أما صاحب الاختبار فليس يجيد النحو القويم في كلامه، بل يخطئ أخطاءً شنيعة، وفي حين لا تسقط المَلامة عن ...

اقرأ المزيد ←

اجتثاث المضامين من سياقاتها مؤداه لغط وغلط وسوء فهم، مثالُ هذا أن يقول أحدهم -كم...

اجتثاث المضامين من سياقاتها مؤداه لغط وغلط وسوء فهم، مثالُ هذا أن يقول أحدهم -كما يُقال أحيانا- أن ابن تيمية عادى المنطق، وأنه هدَّمَه، ليُقْفَزَ من الفور إلى أن في ذلك تعطيلا للعلوم وتأخيرا للفُهوم، ...

اقرأ المزيد ←

"قال مسكويه: كان ابن المقفَّع يقِف قلمُه كثيرا؛ فقيل له في ذلك، فقال: إن الكلام...

"قال مسكويه: كان ابن المقفَّع يقِف قلمُه كثيرا؛ فقيل له في ذلك، فقال: إن الكلام يزدحم في صدري فيقف قلمي لأتخيَّره. والكتاب يُتصفَّح أكثرَ من تصفُّح الخطاب، لأن الكاتب مختار والمخاطب مضطرّ؛ ومن يَرِدُ ...

اقرأ المزيد ←

(1) لعلَّ الاشتغال البحثي المُجِدَّ على العلوم الطبيعية هدفٌ عريض لِأَنْ تسيء شر...

(1) لعلَّ الاشتغال البحثي المُجِدَّ على العلوم الطبيعية هدفٌ عريض لِأَنْ تسيء شرائح واسعة من الطلبة فهمَه، فهو وإن كان يُساءُ فهمُه عبر العصور بعمومها، يبقى لهذا العصر دورٌ أقبح في اللغط الذي يقوم حول...

اقرأ المزيد ←
"فضرورةُ الكلام وورطةُ عدم وجودِ ما يقال وشهوةُ التَكَيُّس أمورٌ ثلاثة يُمكِنها...

"فضرورةُ الكلام وورطةُ عدم وجودِ ما يقال وشهوةُ التَكَيُّس أمورٌ ثلاثة يُمكِنها...

"فضرورةُ الكلام وورطةُ عدم وجودِ ما يقال وشهوةُ التَكَيُّس أمورٌ ثلاثة يُمكِنها أن تُحول أعظم رجل إلى مهزأة، وهم إذا كانوا راغيبن عن إيجاد أفكار جديدة فإنهم بحثوا عن لباقاتٍ جديدة فتكلموا بلا تفكير، ك...

اقرأ المزيد ←

اختيار العناوين على ذي الشاكلة مَرَدُّه الركض وراء ما قد يجذب الناس، وما قد يشدّ...

اختيار العناوين على ذي الشاكلة مَرَدُّه الركض وراء ما قد يجذب الناس، وما قد يشدُّ غباءَهم وسذاجتهم، فهذا صاحب المقال يكتب عن نفسه: [مؤلف له أكثر من عشرين كتابا ومئات الدراسات الدينية والأدبية]، قد تصد...

اقرأ المزيد ←

أتممت قراءة الأعمال الفلسفية الكاملة لديفيد هيوم، جمعها ناشرون إنجليز في أربع مج...

أتممت قراءة الأعمال الفلسفية الكاملة لديفيد هيوم، جمعها ناشرون إنجليز في أربع مجلدات، تزيد عن 2200 صفحة، هي على وجه الرئاسة ثلاث مجلدات ألفها هيوم مغطيةً نفس الرسالة، "رسالة في الطبيعة البشرية"، ثم حس...

اقرأ المزيد ←

"إلا أن من شأن الاستبعاد الكلي لصورة أقل إيجابية لمستقبل أمريكا أن يكون تعبيرا ع...

"إلا أن من شأن الاستبعاد الكلي لصورة أقل إيجابية لمستقبل أمريكا أن يكون تعبيرا عن نزعة انهزامية بلهاء، نزعة هروبية مشحونة بالبهجة البليدة. ثمة ثلاثة سيناريوهات أساسية عن كيفية وتوقيت حصول انهيار أمريك...

اقرأ المزيد ←

النقد العلمي والتأدب لا يلتقيان، وذا راجعٌ في حقيقة الأمر إلى أن ما يُساقُ علميّ...

النقد العلمي والتأدب لا يلتقيان، وذا راجعٌ في حقيقة الأمر إلى أن ما يُساقُ علميًّا على أنه علمي، لم يُسَق بالتبسُّم في وجوه العلماء، ولا بأنْ يخرج إليهم المرء قائلا: "أنا مسكين، فلو تقبلون كلامي حفظكم...

اقرأ المزيد ←
أورغانون أرسطو من الأعمال التي قرأتها أربع مرات، أولها عام 2019 وآخرها قبل شيء م...

أورغانون أرسطو من الأعمال التي قرأتها أربع مرات، أولها عام 2019 وآخرها قبل شيء م...

أورغانون أرسطو من الأعمال التي قرأتها أربع مرات، أولها عام 2019 وآخرها قبل شيء من الشهور؛ فوقتما أردت إعادة قراءة رد ابن تيمية على المنطقيين، عكفت قبلها على المتن الأصلي لمنطق أرسطو من جديد، وحيثما تع...

اقرأ المزيد ←
حينما سمع لويد شابلي، أحد الآباء المؤسسين لنظرية الألعاب Game Theory، خبرَ فوزه...

حينما سمع لويد شابلي، أحد الآباء المؤسسين لنظرية الألعاب Game Theory، خبرَ فوزه...

حينما سمع لويد شابلي، أحد الآباء المؤسسين لنظرية الألعاب Game Theory، خبرَ فوزه بجائزة نوبل في الاقتصاد، قال: "أعتبر نفسي رياضياتيًّا، والجائزة في الاقتصاد، لكنني لم آخذ في حياتي كلها، إطلاقا، درسا و...

اقرأ المزيد ←

"ومن العجائب ما اتّفق للقدماء بالبلاغة، ولم تقُمْ هذه البلاغة على حسْن الكلام ال...

"ومن العجائب ما اتّفق للقدماء بالبلاغة، ولم تقُمْ هذه البلاغة على حسْن الكلام المحكَم النظام فقط، بل كانت تؤثر تأثيرًا بالغا بالتزام الخطيب جانب الإيجاز، وما كان ليعبّر بالكلمات عن أعظم ما يمكن تأثيرً...

اقرأ المزيد ←

بدأ صاحب الفيديو مقطعَه تحت قناة معنونة "فلسفة" بقوله: "أريد أن أحاول أن أثبت لك...

بدأ صاحب الفيديو مقطعَه تحت قناة معنونة "فلسفة" بقوله: "أريد أن أحاول أن أثبت لكم لماذا مفهوم الإرادة الحرة مفهوم غير منطقي وأنه بالفعل عبارة عن خرافة توارثتها البشرية لآلاف من السنوات وهو أن الإرادة ...

اقرأ المزيد ←

تعرفت قبل شهر من الآن، تحديدا في 5/12/2023 على الموسوعة بالغة الضخامة "مرجع تاري...

تعرفت قبل شهر من الآن، تحديدا في 5/12/2023 على الموسوعة بالغة الضخامة "مرجع تاريخ المنطق Handbook of the History of Logic" - المؤلفة من أحد عشر مجلدا - وهأنذا اليوم أطوي الكتاب الخامس منها، الذي يشكِّ...

اقرأ المزيد ←
انتهيت من قراءة أعمال ديكارت الفلسفية الكاملة، التي طبعتها صحافة جامعة كامبريدج...

انتهيت من قراءة أعمال ديكارت الفلسفية الكاملة، التي طبعتها صحافة جامعة كامبريدج...

انتهيت من قراءة أعمال ديكارت الفلسفية الكاملة، التي طبعتها صحافة جامعة كامبريدج معنونةً "كتابات ديكارت الفلسفية The Philosophical Writings of Descartes"، تقع في 1300 صفحة، بترجمة مباشرة عن الأصل اللات...

اقرأ المزيد ←
من بين أساطين الرياضيات في العصر الحديث: كارل فايرشتراس، أبو التحليل الرياضي الح...

من بين أساطين الرياضيات في العصر الحديث: كارل فايرشتراس، أبو التحليل الرياضي الح...

من بين أساطين الرياضيات في العصر الحديث: كارل فايرشتراس، أبو التحليل الرياضي الحديث Modern analysis، وستيفن باناخ، أبو التحليل الدَّالِّي الحديث Modern functional analysis كلاهما لم يتخرج من جامعة، ل...

اقرأ المزيد ←
"إذا كنتُ قادرا على أن أثبت عبرَ المنطق [يقصد المنطق الرياضي] أنك سوف تموت بعد خ...

"إذا كنتُ قادرا على أن أثبت عبرَ المنطق [يقصد المنطق الرياضي] أنك سوف تموت بعد خ...

"إذا كنتُ قادرا على أن أثبت عبرَ المنطق [يقصد المنطق الرياضي] أنك سوف تموت بعد خمسة دقائق، فسأكون حزينا على أنك ستموت، لكن حزني سوف يتم تخفيفه بشدة من خلال المتعة في الإثبات" ~ ج. إتش. هاردي في رسالة...

اقرأ المزيد ←
"فمحنة الأدب في هذه الأيام مرجعها أن كل من أعوزه المال يستطيع أن يجلس إلى مكتبه...

"فمحنة الأدب في هذه الأيام مرجعها أن كل من أعوزه المال يستطيع أن يجلس إلى مكتبه...

"فمحنة الأدب في هذه الأيام مرجعها أن كل من أعوزه المال يستطيع أن يجلس إلى مكتبه ويدبج شيئا يبيعه، ما دام الناس من الغفلة والغباء بحيث يشترون كل ما يُطبع. ولقد كان من آثار تلك المحنة ضيعة اللغة، بعد ضي...

اقرأ المزيد ←

أصبحت أقاطيع من الشبان والشابات تخال الالتحاق ببعض البرامج - التي لا تخرج عن كون...

أصبحت أقاطيع من الشبان والشابات تخال الالتحاق ببعض البرامج - التي لا تخرج عن كونها محو أمية في المواضيع التي تتناولها - التحاقًا سيجعل منها في مقدَّمِ الرَّكْب، لا لشيء، إلا لأن وقتًا قد قُضِيَ وجُهدً...

اقرأ المزيد ←
إعادة نشر من أرشيف حسابي القديم؛ لمن يهمه أو أهَمَّه

هذه خطة خارطة طريق مؤلفة م...

إعادة نشر من أرشيف حسابي القديم؛ لمن يهمه أو أهَمَّه هذه خطة خارطة طريق مؤلفة م...

إعادة نشر من أرشيف حسابي القديم؛ لمن يهمه أو أهَمَّه هذه خطة خارطة طريق مؤلفة من 200 صفحة ترسم مسارًا متسقا وصارما لدراسة المنطق الرياضي، بدءًا من الأساسات حتى أكثر المواضيع تقدما، وهي دليلٌ نفيس لطا...

اقرأ المزيد ←

ما أن يبدأ عربيٌّ بلَوْكِ الإنجليزية بدءَ حديثه، ومنتصفه، وتصل به السماجة أن يرب...

ما أن يبدأ عربيٌّ بلَوْكِ الإنجليزية بدءَ حديثه، ومنتصفه، وتصل به السماجة أن يربط حروف الجر والعطف العربية بكلمات وسياقات إنجليزية، حتى يبدأ شكله أمامي يتصير من إنسان طبيعي إلى ضفدع، أو وزغة، إلى أن أ...

اقرأ المزيد ←
شبكات التواصل ليست فضاءً للتعبير ومساحة لتبادل وجهات النظر كما تُوصَف أحيانا، بل...

شبكات التواصل ليست فضاءً للتعبير ومساحة لتبادل وجهات النظر كما تُوصَف أحيانا، بل...

شبكات التواصل ليست فضاءً للتعبير ومساحة لتبادل وجهات النظر كما تُوصَف أحيانا، بل هي أكبر سلة مهملات فكرية في العصر الحديث، وهي مزبلة من نوع خاص؛ القمامة فيها غير قابلة للتدوير، بل يمكن فقط أن تتبدل وت...

اقرأ المزيد ←

بعد سنوات طويلة من دراسة علم التحسيب، وعلم التحسيب النظري، فإنني أتيقن بأن عوالم...

بعد سنوات طويلة من دراسة علم التحسيب، وعلم التحسيب النظري، فإنني أتيقن بأن عوالم الرياضيات هي أفخَر العوالم الممكنة، ولو عاد بي الزمن إلى الوراء، لاخترت تسخير كل الوقت للرياضيات، ولما كانت عندي البتة ...

اقرأ المزيد ←
ثم يظن المبرمج، أو طالب أو خريج علم الحاسوب أنه متميز عن سائر التخصصات لأنه كتب...

ثم يظن المبرمج، أو طالب أو خريج علم الحاسوب أنه متميز عن سائر التخصصات لأنه كتب...

ثم يظن المبرمج، أو طالب أو خريج علم الحاسوب أنه متميز عن سائر التخصصات لأنه كتب 100 سطر من الكود Code البرمجي. ويطير فرحا إذا شاهد فيديو 15 دقيقة عن لغة برمجة لا يتم تدريسها في جامعته، بذلك يستطيع أن ...

اقرأ المزيد ←
قرأت هذا الكتاب أيام المدرسة، قد يكون الموساد أكثرَ أجهزة الاستخبارات نتانة ووطا...

قرأت هذا الكتاب أيام المدرسة، قد يكون الموساد أكثرَ أجهزة الاستخبارات نتانة ووطا...

قرأت هذا الكتاب أيام المدرسة، قد يكون الموساد أكثرَ أجهزة الاستخبارات نتانة ووطاءة في القرنين المنصرمين، ما كان للاحتلال أن يكون على ما هو عليه الآن لولا استخباراته الخارجية، هنالك استماتة إسرائيلية ت...

اقرأ المزيد ←

عندما أجاب جون فون نويمان مسألةً طرحها عليه جورج دانتزيغ عبرَ نظرية كاملة الرجل...

عندما أجاب جون فون نويمان مسألةً طرحها عليه جورج دانتزيغ عبرَ نظرية كاملة الرجل يسار الصورة هو جورج دانتزيغ، الرياضياتي الذي اشتهر بحله مسألتين وُضِعَتا على السبورة كمسائل غير محلولة في الإحصاء Stati...

اقرأ المزيد ←
السنة التي تبتدئ في شهر 1 وتنتهي في شهر 12، لا تفرق البتة عن السنة التي تبدأ في...

السنة التي تبتدئ في شهر 1 وتنتهي في شهر 12، لا تفرق البتة عن السنة التي تبدأ في...

السنة التي تبتدئ في شهر 1 وتنتهي في شهر 12، لا تفرق البتة عن السنة التي تبدأ في شهر 3 وتنتهي في شهر 2، كلها في النهاية نقاط معينة مستندة على مدار الأرض حول الشمس، الإنجازات والتغير نحو الأفضل أمور لا ...

اقرأ المزيد ←

هذا كتاب عملاق لكل من يشعر بأنه غير قادر على الولوج إلى عوالم الرياضيات المختلفة...

هذا كتاب عملاق لكل من يشعر بأنه غير قادر على الولوج إلى عوالم الرياضيات المختلفة، ولكل من يشعر بأنه لا يمتلك الأساسات والدَّعَّامات اللازمة لبدء ممارسة الرياضة يقع العمل "الرياضيات الابتدائية من وجهة...

اقرأ المزيد ←

يعنُّ لكثير من الدخلاء على دنيا الثقافة، والتفلسف، أن يبنوا لأنفسهم سجلا ثقافيا...

يعنُّ لكثير من الدخلاء على دنيا الثقافة، والتفلسف، أن يبنوا لأنفسهم سجلا ثقافيا من خلال "مراجعة" الكتب، فتجد الواحد منهم قد أقسم ألا يقرأَ كتابا إلا ويُرِيَ الناس أنه قد قرأه، تبدأ الاستعراضات بنشر ال...

اقرأ المزيد ←
لكن صاحب المنشور لا يعرف، ولا يفهم أن قضية: "الرياضيات لغة الكون" وأن "الله رياض...

لكن صاحب المنشور لا يعرف، ولا يفهم أن قضية: "الرياضيات لغة الكون" وأن "الله رياض...

لكن صاحب المنشور لا يعرف، ولا يفهم أن قضية: "الرياضيات لغة الكون" وأن "الله رياضياتي" هي قضية غير قابلة للبت Undecidable 🤤 ليأتي بها ويقررها وكأنما من السهل مزجها بالحقائق الإسلامية حينما يحب واحدٌ ...

اقرأ المزيد ←

معيار الثقافة قبل وسائل التواصل: عقل المرء وكيف يُطلِق به لسانَه، وحضورُه عند ال...

معيار الثقافة قبل وسائل التواصل: عقل المرء وكيف يُطلِق به لسانَه، وحضورُه عند الأخذ والرد في مجالس العلم والفكر، وصدّه ودفعه في مؤلفاته وما يكتب معيار الثقاقة عصرَ وسائل التواصل: تصور وأنتَ تمسك كتاب...

اقرأ المزيد ←

بسم الله نستدفئ بهذه التحفة الفنية في الصور كتاب Elements of Mathematics، أضخم...

بسم الله نستدفئ بهذه التحفة الفنية في الصور كتاب Elements of Mathematics، أضخم كتاب علمي في الرياضيات، سلسلة يصل عدد أجزائها 36 مجلدا، ألفها جمعٌ من الرياضيين عُرِفُوا بمجموعة Nicholas Bourbaki نوع ...

اقرأ المزيد ←

"القارئ لا يسرق والسارق لا يقرأ" ~ جملة قالها تاجر سرَّاق يعتاش من وراء بيع الك...

"القارئ لا يسرق والسارق لا يقرأ" ~ جملة قالها تاجر سرَّاق يعتاش من وراء بيع الكتب، في حين أن شريحة وسيعة من القرَّاء سارقون؛ والدليل وجود الPDF، وشريحة وسيعة من السارقين يقرؤون لكي يرفعوا مستواهم في ...

اقرأ المزيد ←

لدى بعض طلبة الكليات العلمية سماجة -من الممكن احتمالها- تتمثل في استهجان فكرة عل...

لدى بعض طلبة الكليات العلمية سماجة -من الممكن احتمالها- تتمثل في استهجان فكرة علمية لأن الطالب لم يَدْرِ أين التطبيقات العملية عليها، في حين لدى بعضهم سماجة -من الصعب احتمالها- تتعين في استهجان فكرة ع...

اقرأ المزيد ←

أيا كان الذي يسعى وراءه المرء، فإن أدنى قماءة يمكن أن يضع نفسه فيها هي أن يبدأ ب...

أيا كان الذي يسعى وراءه المرء، فإن أدنى قماءة يمكن أن يضع نفسه فيها هي أن يبدأ بتسويق نفسه، وأن يبتدئ بتسليع مهاراته وإنجازاته، ومن جملة القماءات تلك، المستوى البئيس الذي وصل إليه الناس في هذا العصر ع...

اقرأ المزيد ←

علم التشفير (Cryptography) ذو الطريق الحاسوبي، يقوم برمته على حدسية، مفادها: وجو...

علم التشفير (Cryptography) ذو الطريق الحاسوبي، يقوم برمته على حدسية، مفادها: وجود الدوال وحيدة الاتجاه (One-way functions) كل علم التشفير اليوم، الذي تنبني عليه التكنولوجيا والحواسيب والانترنت، مرهون...

اقرأ المزيد ←
المناطقة النظريون اليوم يغلب عليهم أن جوهرَ المنطقِ دراسةُ العلاقات الاختزالية(D...

المناطقة النظريون اليوم يغلب عليهم أن جوهرَ المنطقِ دراسةُ العلاقات الاختزالية(D...

المناطقة النظريون اليوم يغلب عليهم أن جوهرَ المنطقِ دراسةُ العلاقات الاختزالية(Deductibility relations)، وهذه العلاقات تُظهر ثلاثة خصائص بنيوية(Structural properties) كفءٍ تغطي أساس الانتقال الاختزالي...

اقرأ المزيد ←
أصعب ما في المنطق تاريخُه، أؤكد لكم أن الدراسة المنطقية لتاريخ المنطق متعبة أكثر...

أصعب ما في المنطق تاريخُه، أؤكد لكم أن الدراسة المنطقية لتاريخ المنطق متعبة أكثر...

أصعب ما في المنطق تاريخُه، أؤكد لكم أن الدراسة المنطقية لتاريخ المنطق متعبة أكثر من دراسة المنطق الأرسطي مثلا، أو القروسطي، أو الرياضي عند دراسة تاريخ المنطق، فالدارسُ أمام جَدَلِية تكاد تكون كالديال...

اقرأ المزيد ←
المناطقة الذين عاينوا كانط في المنطق أُثيرت سخريتهم، فكانط كان يرى أن المنطق لا...

المناطقة الذين عاينوا كانط في المنطق أُثيرت سخريتهم، فكانط كان يرى أن المنطق لا...

المناطقة الذين عاينوا كانط في المنطق أُثيرت سخريتهم، فكانط كان يرى أن المنطق لا يستطيع التراجع خطوة واحدة إلى الخلف منذ أرسطو، وأنه أيضا لا يستطيع سلك أي خطوة للأمام فقد بين عصر المنطق الإنجليزي على ...

اقرأ المزيد ←

قد يعرف الناس أن أفلاطون فيلسوف، العامي في الشارع سمع ذلك سماعا، والطالب الجامعي...

قد يعرف الناس أن أفلاطون فيلسوف، العامي في الشارع سمع ذلك سماعا، والطالب الجامعي مرت عليه مادة تحدثت عن أفلاطون في صفحة، ومراهق الفلسفة قرأ كلاما عن أفلاطون ولم يقرأ له قِسْ على هذا أن منازل التحقيق ...

اقرأ المزيد ←

كتاب الرد على المنطقيين مثالٌ صارخ على أنْ ليس كل ما حُقِّقَ بعد مئات السنين قد...

كتاب الرد على المنطقيين مثالٌ صارخ على أنْ ليس كل ما حُقِّقَ بعد مئات السنين قد استُنْزِفَ ونفدت أبعاده وفحاويه، فلعل شيئا يمكن أن يُقال في مضامينه، أو حتى يجب أن يُقال؟ ذا ما تجري عليه بحوثي الآن، وق...

اقرأ المزيد ←
توصل غيرارد غينتزن -الرجل في الصورة- إلى إثبات اتساقية(Consistency) مسلمات بيانو...

توصل غيرارد غينتزن -الرجل في الصورة- إلى إثبات اتساقية(Consistency) مسلمات بيانو...

توصل غيرارد غينتزن -الرجل في الصورة- إلى إثبات اتساقية(Consistency) مسلمات بيانو(Peano Axioms) عام 1936، وشغله الباقي في المنطق والرياضيات أعظم وأعظم جزء ضخم مما نصفه بالمنطق الرياضي الحديث تتم محاكم...

اقرأ المزيد ←

الدراسات التي تناولت ابن تيمية منطقيًّا أبعد ما تكون عن تحقيق مذهبه فيما ذهب إلي...

الدراسات التي تناولت ابن تيمية منطقيًّا أبعد ما تكون عن تحقيق مذهبه فيما ذهب إليه؛ وأسوأ ما وقعت فيه تينك الدراسات أنها ما فتئت تحقق عند عصر ابن تيمية ولم تجاوزه، ومن هنا عجز محاولو التحقيق عن التحقيق...

اقرأ المزيد ←
((  الراديو، أنا أعرف أنني مخترعه، لكنه لا يروقني، لا يعجبني فقط، إنه مزعج، أنا...

(( الراديو، أنا أعرف أنني مخترعه، لكنه لا يروقني، لا يعجبني فقط، إنه مزعج، أنا...

(( الراديو، أنا أعرف أنني مخترعه، لكنه لا يروقني، لا يعجبني فقط، إنه مزعج، أنا لا أستمع له إطلاقا، الراديو مشتت ويمنعك من التركيز،. هنالك الكثير من المشتتات في هذه الحياة التي تضرب جودة التفكير، هي ج...

اقرأ المزيد ←
"لم يجعل الله البشرَ مخلوقات ذات قدمين فقط، ليترك الأمر لأرسطو ليجعلهم عاقلين"...

"لم يجعل الله البشرَ مخلوقات ذات قدمين فقط، ليترك الأمر لأرسطو ليجعلهم عاقلين"...

"لم يجعل الله البشرَ مخلوقات ذات قدمين فقط، ليترك الأمر لأرسطو ليجعلهم عاقلين" ~ جون لوك، مقالة عن الفهم البشري، 1700 قارنه مع قول ابن تيمية: "فإن العلوم العقلية تُعلم بما فَطَر الله عليه بني آدم م...

اقرأ المزيد ←
لمَّا أسَرَ أسطول عثماني الروائيَ الأعظم عبر التاريخ ميغل دي ثيربانتس، بتاريخ 26...

لمَّا أسَرَ أسطول عثماني الروائيَ الأعظم عبر التاريخ ميغل دي ثيربانتس، بتاريخ 26...

لمَّا أسَرَ أسطول عثماني الروائيَ الأعظم عبر التاريخ ميغل دي ثيربانتس، بتاريخ 26/9/1575، صاحب رواية "دون كيشوت" -التي تُعَد واحدة من أنفس ما سطرته اليد البشرية روائيا- اقتيد إلى الجزائر، وهناك وُهِبَ ...

اقرأ المزيد ←

خذوا مثالا أن أغنى أغنياء العالم إيلون ماسك لم تغنه أمواله أن يكون حرًّا، على ال...

خذوا مثالا أن أغنى أغنياء العالم إيلون ماسك لم تغنه أمواله أن يكون حرًّا، على الأقل بينه وبين نفسه، وعند أهون نازلة بان ذليلا مهانًا لم تشفع له ملياراته أن يثبت على موقف اتخذه؛ بالرغم من اتهامه بمعادا...

اقرأ المزيد ←
تعريف مثير للعدد الثابت π²

مساحة سطح حَلْقَة المِرساة(Horn torus) ذات شكل الدون...

تعريف مثير للعدد الثابت π² مساحة سطح حَلْقَة المِرساة(Horn torus) ذات شكل الدون...

تعريف مثير للعدد الثابت π² مساحة سطح حَلْقَة المِرساة(Horn torus) ذات شكل الدونات(Doughnut) التي أنبوبُها قطرُه من وحدة واحدة في الطول هذه خاصية مثيرة، لأنها بسيطة، لكنها نتيجة رياضية غير بديهية ترب...

اقرأ المزيد ←

إذا ما طالعتَ ما حققه مؤرخو الرياضيات -الذين يكونون رياضياتيين أصلا- عن الرياضة...

إذا ما طالعتَ ما حققه مؤرخو الرياضيات -الذين يكونون رياضياتيين أصلا- عن الرياضة التي اشتغل بها المسلمون قديما، فإنك تجد تمحيصا تاريخيا دقيقا ومعقما، يكشف عن إسهامات خفيت، ومنجزات لم تشتهر، للرياضيين ا...

اقرأ المزيد ←

إذا ما بحثت عن المال لأنه مال، وطاردته طمعا في التغني والتملُّك والتبذير، تبتئس...

إذا ما بحثت عن المال لأنه مال، وطاردته طمعا في التغني والتملُّك والتبذير، تبتئس باحثا وملاقيًا، فأنَّاء بحثك تشقى وعند إيجادِكَهُ لا ترضى، وخير المال ما حُصِّل لشراء الوقت، تصرفه في علم أو عمل نافع في...

اقرأ المزيد ←

يقول كارت غنتيروث صاحب كتاب[++Optimized C] أن الوصول لدرجة الأستاذية في لغة مثل...

يقول كارت غنتيروث صاحب كتاب[++Optimized C] أن الوصول لدرجة الأستاذية في لغة مثل ++C، يحتاج على الأقل إلى 10 سنوات! وعقب انتهاء إحدى المؤتمرات العلمية التي كان فيها مخترع اللغة[بيارن ستروستروب] سُئِل ...

اقرأ المزيد ←

واحدة من أسرار التمكن في العلوم أن تأتيها بابَها الأطولَ، فكلُّ سرعةٍ في غير محل...

واحدة من أسرار التمكن في العلوم أن تأتيها بابَها الأطولَ، فكلُّ سرعةٍ في غير محلها ضدُّك، تؤخِّر الفهم وتُجرِّئُك الحسم[في غير محله] وتُعدِمُك قدرتَك في الجزم، وإذْ ذَا فإن المسلكَ البطيئ أرصَن وممشى ...

اقرأ المزيد ←
قد تظن الرجل في الصورة أحد الممثلين القدماء لفيلم الجوكر، إلا أن ظنك نصفُه خاطئ...

قد تظن الرجل في الصورة أحد الممثلين القدماء لفيلم الجوكر، إلا أن ظنك نصفُه خاطئ...

قد تظن الرجل في الصورة أحد الممثلين القدماء لفيلم الجوكر، إلا أن ظنك نصفُه خاطئ ليس بممثل، لكنه جوكر الرياضيات كارل غوستاف جاكوبي😎، الرجل الذي قضَّ مضاجع الفيزيائيين والرياضيين في الميكانيك الكمومي ...

اقرأ المزيد ←
《ثم توفرتُ على العلم والقراءة سنة ونصفا، فأعدت قراءة المنطق، وجميع أجزاء الفلسفة...

《ثم توفرتُ على العلم والقراءة سنة ونصفا، فأعدت قراءة المنطق، وجميع أجزاء الفلسفة...

《ثم توفرتُ على العلم والقراءة سنة ونصفا، فأعدت قراءة المنطق، وجميع أجزاء الفلسفة، وفي هذه المدة، ما نمت ليلةً واحدة بطولها، ولا اشتغلت النهار بغيره، وجُمعت بين يدي ظهورا، فكل حُجِّة كنت أنظر فيها، أُث...

اقرأ المزيد ←
على عكس ما يحاول الرادون الرد، فإن الرياضياتيين المسلمين قد جاوزوا حدود التقليد...

على عكس ما يحاول الرادون الرد، فإن الرياضياتيين المسلمين قد جاوزوا حدود التقليد...

على عكس ما يحاول الرادون الرد، فإن الرياضياتيين المسلمين قد جاوزوا حدود التقليد الرياضي الإغريقي، والذي كان مركزا بشدة على الهندسة(Geometry)، فقد طور الرياضيون إبان العصور الإسلامية طرائقَ أكثر عمليةً...

اقرأ المزيد ←
ابتغى سعيد فودة أن ينقض ردود ابن تيمية على المنطقيين في هذا الكتاب، إلا أنه ما أ...

ابتغى سعيد فودة أن ينقض ردود ابن تيمية على المنطقيين في هذا الكتاب، إلا أنه ما أ...

ابتغى سعيد فودة أن ينقض ردود ابن تيمية على المنطقيين في هذا الكتاب، إلا أنه ما أن يصل القارئ أقسامَ الكتاب المعنية بالتعرض لابن تيمية حتى يتبين فشل مبتغاه، وأنه قد خيَّب الآمال التي انبنت في الفهرست[ن...

اقرأ المزيد ←

إيفاريست غالْوَا وضياع الرياضيات، ومن لا يعرف غالْوَا

إيفاريست غالْوَا وضياع الرياضيات، ومن لا يعرف غالْوَا! لعل الرياضياتي الفرنسي غالْوَا من الذين يتمنى المجتمع الرياضياتي لو عاشوا أكثر مما عاشوا، فذا الفتى في الصورة مات وعمرُه عشرون سنة! وعند هذا ...

اقرأ المزيد ←
((  الشيء الوحيد الذي يجعل حياة الرياضياتي تستحق العيش، هو أنه يحظى بالإعجاب على...

(( الشيء الوحيد الذي يجعل حياة الرياضياتي تستحق العيش، هو أنه يحظى بالإعجاب على...

(( الشيء الوحيد الذي يجعل حياة الرياضياتي تستحق العيش، هو أنه يحظى بالإعجاب على مضض من ثلاثة أو أربعة زملاء. )) - دونالد كنوث، صحيفة دكتور دوب، مقابلة مع دونالد كنوث(4/1996).

اقرأ المزيد ←
من مبادئ فن الحرب أن يلقي المرء بحياته ويهجم، فإذا فعل الخصم الشيء ذاتَه، فهي إذ...

من مبادئ فن الحرب أن يلقي المرء بحياته ويهجم، فإذا فعل الخصم الشيء ذاتَه، فهي إذ...

من مبادئ فن الحرب أن يلقي المرء بحياته ويهجم، فإذا فعل الخصم الشيء ذاتَه، فهي إذن مباراة متساوية، إن هزيمة الخصم هاهنا تغدو مسألة إيمان ومصير ~ هاغاكور، كتاب الساموراي، ياماموتو تسونيتومو، 1659-1720

اقرأ المزيد ←
كنت أتجول في إحدى المجلات البحثية الإلكترونية، فإذا بي -صدفَةً- أجد بحثا في المن...

كنت أتجول في إحدى المجلات البحثية الإلكترونية، فإذا بي -صدفَةً- أجد بحثا في المن...

كنت أتجول في إحدى المجلات البحثية الإلكترونية، فإذا بي -صدفَةً- أجد بحثا في المنطق بالعبرية لمؤلف يهودي إسرائيلي[أفيرام رافيتسكي] يستشهد بابن تيمية البحث معنونٌ على: "نظرية المنطق ونظرية المعرفة في م...

اقرأ المزيد ←

اعتراضات على أبي الفداء في عرضه للرياضيات [1] يقول: "فما معنى إضافة [بعد فراغي...

اعتراضات على أبي الفداء في عرضه للرياضيات [1] يقول: "فما معنى إضافة [بعد فراغي رابع] إلى تلك الثلاثة وما حقيقته؟ لا حقيقة تحته في اللغة ولا في الذهن ولا في الواقع، إلا أن يكون تنطعا وتعمقا في التجري...

اقرأ المزيد ←
((  إن هذا الخيار ينطوي على مسؤولية عظمى تجاه طلابنا، ولذا فإنه لا يمكن أن يُترك...

(( إن هذا الخيار ينطوي على مسؤولية عظمى تجاه طلابنا، ولذا فإنه لا يمكن أن يُترك...

(( إن هذا الخيار ينطوي على مسؤولية عظمى تجاه طلابنا، ولذا فإنه لا يمكن أن يُترك إلى رئيس قسم أو دائرة عشوائي، لكن؛ يجب أن يُفصل فيه من قِبَل مجلس ميزانية الجامعة، هذا شيء لا يمكن تركه إلى الموظفين ال...

اقرأ المزيد ←

بعض الكتب أغلفتُها تسر الناظرين، وورقها جامد سمين، بِيعَ منها كثيرٌ ثمين، أصحابه...

بعض الكتب أغلفتُها تسر الناظرين، وورقها جامد سمين، بِيعَ منها كثيرٌ ثمين، أصحابها في غنىً وشهرة، وقُرَّاؤُها في فقر معرفي وغُمرَة، قد زِيْدَتْ في خصائصها وخصالها إلا عاملا أوحدَ وحيدًا: أن تحوي الفِكَ...

اقرأ المزيد ←
أوَّلُ ما قال امرُؤُ القيس شعرًا في صباه قولُه، الذي لمَّا سُمِعَ منه عُلِم أنه...

أوَّلُ ما قال امرُؤُ القيس شعرًا في صباه قولُه، الذي لمَّا سُمِعَ منه عُلِم أنه...

أوَّلُ ما قال امرُؤُ القيس شعرًا في صباه قولُه، الذي لمَّا سُمِعَ منه عُلِم أنه سيكثر قول الشعر ويجيده: أذود القوافي عني ذيادا ذيادَ غلامٍ جريءٍ جوادَا فأعزِلُ مَرجانَها جانبا وآخذُ من دُرِّها المس...

اقرأ المزيد ←

قال حمدان بن هانئ: سمعت خَلَفَ بن هشام يقول: أشكَلَ عليَّ باب من النحو، فأنفقتُ...

قال حمدان بن هانئ: سمعت خَلَفَ بن هشام يقول: أشكَلَ عليَّ باب من النحو، فأنفقتُ ثمانين ألف درهم حتى حَذَقْتُه. ~ معرفة القرَّاء الكبار على الطبقات والأعصار، شمس الدين الذهبي، المجلد الأول، ص209

اقرأ المزيد ←
كان جون فون نويمان، عند السادسة من عمره، يقسِم ويضرب رقمين من 8 منازل في رأسه 
و...

كان جون فون نويمان، عند السادسة من عمره، يقسِم ويضرب رقمين من 8 منازل في رأسه و...

كان جون فون نويمان، عند السادسة من عمره، يقسِم ويضرب رقمين من 8 منازل في رأسه وفي رأسه أيضا، كان يستطيع حساب π إلى المنزلة 23,000 في حين أن أول جهاز حاسوب[ENIAC] تم استخدامه لحساب π، والذي -بالمناسب...

اقرأ المزيد ←
فحدثني أبو إسحاق إبراهيمُ النَّظام قال: 
شهدتُ أكثرَ هذه التجربة التي كانت منهم...

فحدثني أبو إسحاق إبراهيمُ النَّظام قال: شهدتُ أكثرَ هذه التجربة التي كانت منهم...

فحدثني أبو إسحاق إبراهيمُ النَّظام قال: شهدتُ أكثرَ هذه التجربة التي كانت منهم في إسكار البهائمِ وأصنافِ السباع، ولقد احتال لأسد مقلَّم الأظفار يُنادى عليه: العجَب العجَب!! حتى سقاه وعرف مقدارَه في ا...

اقرأ المزيد ←
«إن إلغاء الدين، من حيث هو سعادة وهمية للشعب، هو ما يتطلبه صنع سعادته الفعلية

«إن إلغاء الدين، من حيث هو سعادة وهمية للشعب، هو ما يتطلبه صنع سعادته الفعلية

«إن إلغاء الدين، من حيث هو سعادة وهمية للشعب، هو ما يتطلبه صنع سعادته الفعلية. إن تطلب تخلي الشعب عن الوهم حول وضعه هو تطلب التخلي عن وضع بحاجة إلى وهم. فنقد الدين هو بداية نقد وادي الدموع الذي يؤلف ا...

اقرأ المزيد ←
هل يمكن لشركة فيسبوك أن تمنع سرقة المنشورات

هل يمكن لشركة فيسبوك أن تمنع سرقة المنشورات

هل يمكن لشركة فيسبوك أن تمنع سرقة المنشورات؟ نعم، لماذا لا تفعل ذلك إذن؟ ببساطة لأنها شركة حمقاء ولا يهمها كيف يمكن ذلك؟ من خلال الأدوات التي يوفرها علم التشفير، فإنه تستطيع أي شركة تواصل اجتماعي أ...

اقرأ المزيد ←
إن رفض غريشا[غريغوري] بيرلمان لجائزة المليون دولار، إثر حله لحدسية بوانكاريه الت...

إن رفض غريشا[غريغوري] بيرلمان لجائزة المليون دولار، إثر حله لحدسية بوانكاريه الت...

إن رفض غريشا[غريغوري] بيرلمان لجائزة المليون دولار، إثر حله لحدسية بوانكاريه التي كانت عالقة لأكثر من قرن، ليس رفضا راجعا إلى طلبه حياةً زهيدةً فحسب بل إنه كان في عداء مع المجتمع الأكاديمي، فقد كان ...

اقرأ المزيد ←
روى بلوطارخس في تواريخه عن فوكيون[جنرال وسياسي متتلمذ على أفلاطون] أنه هَمَّ بإل...

روى بلوطارخس في تواريخه عن فوكيون[جنرال وسياسي متتلمذ على أفلاطون] أنه هَمَّ بإل...

روى بلوطارخس في تواريخه عن فوكيون[جنرال وسياسي متتلمذ على أفلاطون] أنه هَمَّ بإلقاء خطبة على الناس فقُطوعَ أكثر من مرة بتصفيقهم وتهليلهم، فإذا به يتلفت إلى من حوله من خُلصائِه متسائلا: "أتراني أخطأت و...

اقرأ المزيد ←

العرب تستعمل التعريض¹ في كلامها كثيرا، فتبلغُ إرادَتَها بوجهٍ هو ألطفُ، وأحسنُ من الكشف والتصريح

العرب تستعمل التعريض¹ في كلامها كثيرا، فتبلغُ إرادَتَها بوجهٍ هو ألطفُ، وأحسنُ من الكشف والتصريح. ويعيبون على الرجل إذا كان يُكاشفُ في كل شيء فيقولون: (فلانٌ لا يُحسن التعريض إلا ثَلْبًا²) ~ أبو منصو...

اقرأ المزيد ←
لفتة للأخوة المهتمين بالمنطق، وبتقاطعاته مع اللسانيات، ذَا كتاب للدكتور طارق الم...

لفتة للأخوة المهتمين بالمنطق، وبتقاطعاته مع اللسانيات، ذَا كتاب للدكتور طارق الم...

لفتة للأخوة المهتمين بالمنطق، وبتقاطعاته مع اللسانيات، ذَا كتاب للدكتور طارق المالكي من أجود ما تجدون مكتوبا في هذي الصنعة، يُضاف إلى براعته أنه مكتوب بالعربية كنت قد أنهيته قبل بضعة شهور، وهأنذا أفت...

اقرأ المزيد ←
يا لعار أصحاب الPDF يقرؤون إميل/جان جاك روسو بترجمةِ غير عادل زعيتر

يا لعار أصحاب الPDF يقرؤون إميل/جان جاك روسو بترجمةِ غير عادل زعيتر

يا لعار أصحاب الPDF يقرؤون إميل/جان جاك روسو بترجمةِ غير عادل زعيتر! الترجمة المرفوعة على الشبكة[نظمي لوقا] أقل ما يمكن أن يُقال عنها أنها بئيسة أمام ترجمة زعيتر! نرفعها لكم إن شاء الله[ليست على الش...

اقرأ المزيد ←

حينما تعتبر من التاريخ متنَ إيساغوجي درةً ثمينة، وتغفل -لجهلٍ أو لأن مذهبك يمنعك...

حينما تعتبر من التاريخ متنَ إيساغوجي درةً ثمينة، وتغفل -لجهلٍ أو لأن مذهبك يمنعك- عن رد ابن تيمية على المنطقيين، ووقتما تعتمد في دروسك السلمَ المنورق مادةً خصبة للدرس، وتتجاهل أو تجهل الرد على المنطقي...

اقرأ المزيد ←

تبيانٌ عبر نظرية النمط(Type Theory) لدحض ابن تيمية مسألةً عند خصمٍ، وبيانُه الاض...

تبيانٌ عبر نظرية النمط(Type Theory) لدحض ابن تيمية مسألةً عند خصمٍ، وبيانُه الاضطرابَ فيها [1] يقول ابن تيمية: "وأظهرها خطأ دعواهم أن «التصورات»‏ المطلوبة لا تحصل إلا بما ذكروه من «الحد».‏ ثم مجرد...

اقرأ المزيد ←

أعود -اليوم أو غدًا- لاستكمال السلسلة المغطية لابن تيمية تغطيةً رياضية، وذاك عبر...

أعود -اليوم أو غدًا- لاستكمال السلسلة المغطية لابن تيمية تغطيةً رياضية، وذاك عبر كتابه الرد على المنطقيين، من خلال المنطق الطّوري(Modal Logic)، ونظرية الفئات(Category Thoery)، ونظرية النمط(Type Theory...

اقرأ المزيد ←

ما هي منشورات خورازمية الفيسبوك التي راجت الفترةَ الأخيرة

ما هي منشورات خورازمية الفيسبوك التي راجت الفترةَ الأخيرة؟ هي لجماعة مات عندهم التفاعل أو هو ميت من الأساس فبدأوا يشحذونه أما "خوازرمية الفيسبوك" فهي غير موجودة من الأصل بما أنني تحدثت عن هذا فلأقل...

اقرأ المزيد ←

تتمة للمنشورات السابقة: هذه مجموعة من 20 كتابا، تغطي مستويات عديدة في علم التشفي...

تتمة للمنشورات السابقة: هذه مجموعة من 20 كتابا، تغطي مستويات عديدة في علم التشفير، لغة البرمجة Solidity وبلوكتشين الإثيريوم، وبلوكتشين Hyperledger Fabric، بالإضافة إلى قليل من موضوعات أخرى هنا وقليل ه...

اقرأ المزيد ←

خطة خارطة طريق لدراسة البلوكتشين، أصيغها من خلال تجربتي بإيجاز سريع غير مخِلّ،...

خطة خارطة طريق لدراسة البلوكتشين، أصيغها من خلال تجربتي بإيجاز سريع غير مخِلّ، نعرف البلوكتشين، سمحت تكنولوجيا الحافظة الموزعة(Distributed Ledger-DLT) بالتضافر مع علم التشفير بظهور ما نعرفه اليوم مما...

اقرأ المزيد ←
الطلب على مطوري ومبرمجي البلوكتشين يزداد ب517% سنويا

الطلب على مطوري ومبرمجي البلوكتشين يزداد ب517% سنويا

الطلب على مطوري ومبرمجي البلوكتشين يزداد ب517% سنويا! مقارنة بازدياد ب27% فقط على مطوري تعلم الآلة[في الذكاء الاصطناعي] وب7% على مطور الويب المتكامل(Full stack) مطور البلوكتشين في هذه الأيام أميرٌ ...

اقرأ المزيد ←
ديفيد هلبرت الملقب بِجَدِّ الرياضيات ينسى نفسه تحت المطر ويعطي محاضرة رياضية في جنازة

ديفيد هلبرت الملقب بِجَدِّ الرياضيات ينسى نفسه تحت المطر ويعطي محاضرة رياضية في جنازة

ديفيد هلبرت الملقب بِجَدِّ الرياضيات ينسى نفسه تحت المطر ويعطي محاضرة رياضية في جنازة! كان لدى هلبرت -الرياضياتي الألماني العملاق- تلميذ قدَّم له نفسه مرةً عبر ورقة من المفترض بها أن تثبت حدسية ريمان...

اقرأ المزيد ←

مشكلة "الرد على الإلحاد" [1] الناس اليوم يظنون، بفعل طلعت وغيره من المشتغلين...

مشكلة "الرد على الإلحاد" [1] الناس اليوم يظنون، بفعل طلعت وغيره من المشتغلين في سيرك "الرد على الإلحاد"، أن الإلحاد هو شيء تتم تسخير الأقلام له وإسالة الأحبار عليه وإراقة المداد فيه، هكذا تحت عنوان...

اقرأ المزيد ←
"ثمة بالفعل عدد غير قليل من أوجه الشبه الباعثة على الذعر بين الاتحاد السوفييتي ق...

"ثمة بالفعل عدد غير قليل من أوجه الشبه الباعثة على الذعر بين الاتحاد السوفييتي ق...

"ثمة بالفعل عدد غير قليل من أوجه الشبه الباعثة على الذعر بين الاتحاد السوفييتي قبيل سقوطه وأمريكا في السنوات الأولى من القرن الواحد والعشرين" ~ زبيغنو بريجينسكي؛ رؤية استراتيجية: أمريكا وأزمة السلطة ...

اقرأ المزيد ←
"إذا كنتُ قادرا على أن أثبت عبرَ المنطق أنك سوف تموت بعد خمسة دقائق، فسأكون حزين...

"إذا كنتُ قادرا على أن أثبت عبرَ المنطق أنك سوف تموت بعد خمسة دقائق، فسأكون حزين...

"إذا كنتُ قادرا على أن أثبت عبرَ المنطق أنك سوف تموت بعد خمسة دقائق، فسأكون حزينا على أنك ستموت، لكن حزني سوف يتم تخفيفه بشدة من خلال المتعة في الإثبات" ~ ج. إتش. هاردي في رسالة إلى برتراند راسل

اقرأ المزيد ←
في كتاب بريجينسكي المَهول المؤلَف عام 2012 [رؤية استراتيجية: أمريكا وأزمة السلطة...

في كتاب بريجينسكي المَهول المؤلَف عام 2012 [رؤية استراتيجية: أمريكا وأزمة السلطة...

في كتاب بريجينسكي المَهول المؤلَف عام 2012 [رؤية استراتيجية: أمريكا وأزمة السلطة العالمية] تحديدا في الباب الثالث المُعنوَن [العالم بعد أمريكا: مع حلول 2025 ليس صينيا وإنما فوضويا] تحت قسم [الدول الأك...

اقرأ المزيد ←
"فأي مرض داخلي مزمن أو خارجي متمادٍ لا بد له من أن يستنزف حيوية أمريكا، ويُجْهِز...

"فأي مرض داخلي مزمن أو خارجي متمادٍ لا بد له من أن يستنزف حيوية أمريكا، ويُجْهِز...

"فأي مرض داخلي مزمن أو خارجي متمادٍ لا بد له من أن يستنزف حيوية أمريكا، ويُجْهِز تدريجيا على معنويات المجتمع الأمريكي، ويختزل جاذبية أمريكا الاجتماعية ومشروعيتها العالمية، وينتج ربما مع حلول عام 2025 ...

اقرأ المزيد ←
"وحالة النجاة بأعجوبة التي عاشتها أمريكا في 2007 تُذكِّر بأن مثل هذا السيناريو ا...

"وحالة النجاة بأعجوبة التي عاشتها أمريكا في 2007 تُذكِّر بأن مثل هذا السيناريو ا...

"وحالة النجاة بأعجوبة التي عاشتها أمريكا في 2007 تُذكِّر بأن مثل هذا السيناريو المنذِر بكارثة ليس افتراضيًّا مئة بالمئة. فبالتضافر مع جملة العواقب المدمرة لأي تورط عسكري مصعَّد في الخارج، يمكن لكارثة ...

اقرأ المزيد ←
شغل ديكارت من طول كتابه "حديث الطريقة" نصفَه يقدِّم ويسهِّل، فجعل الحديث في ستة...

شغل ديكارت من طول كتابه "حديث الطريقة" نصفَه يقدِّم ويسهِّل، فجعل الحديث في ستة...

شغل ديكارت من طول كتابه "حديث الطريقة" نصفَه يقدِّم ويسهِّل، فجعل الحديث في ستة أجزاء، كان الرابع منها البدءَ الفعلي للتغطية العميقة، المتمحورة حول تأملات أراد كشفها تصل الجزء الرابع فتجد في أول صفح...

اقرأ المزيد ←
"إن السيطرة العالمية لأمريكا تعتمد بشكل مباشر على المدى الزمني والمدى الفعال لاس...

"إن السيطرة العالمية لأمريكا تعتمد بشكل مباشر على المدى الزمني والمدى الفعال لاس...

"إن السيطرة العالمية لأمريكا تعتمد بشكل مباشر على المدى الزمني والمدى الفعال لاستمرار التفوق الأميركي على القارة الأوراسية، ومن الواضح أن هذا وضع مؤقت" ~ زبغنيو بريجينسكي؛ مستشار الأمن القومي الأمريك...

اقرأ المزيد ←
ديكارت حاكيا عن الهندسة التحليلية(Analytic Geometry):

"تبقى دائما مقيدة تفحص ال...

ديكارت حاكيا عن الهندسة التحليلية(Analytic Geometry): "تبقى دائما مقيدة تفحص ال...

ديكارت حاكيا عن الهندسة التحليلية(Analytic Geometry): "تبقى دائما مقيدة تفحص الأشكال، إلى درجة أنها لا تستطيع ترويض الذهن من دون إرهاق الخيال."¹ قلت: الله! ~ 1. حديث الطريقة لقيادة العقل قيادة حسنة...

اقرأ المزيد ←
سام ألتمان، الشريك المؤسس لشركة OpenAI الواقفة وراء ChatGPT، وعلى غير المتوقع، ي...

سام ألتمان، الشريك المؤسس لشركة OpenAI الواقفة وراء ChatGPT، وعلى غير المتوقع، ي...

سام ألتمان، الشريك المؤسس لشركة OpenAI الواقفة وراء ChatGPT، وعلى غير المتوقع، يُطرد من منصبه كرئيس تنفيذي للشركة بعد إجماع مجلس الإدارة على فقدانه للثقة في قيادة الشركة الخبر صاعق شيئا ما...

اقرأ المزيد ←
حينما قابل ريتشارد فاينمان بطلَه بول ديراك عقب مؤتمر بوكونو، افتُتِح الحديث بينه...

حينما قابل ريتشارد فاينمان بطلَه بول ديراك عقب مؤتمر بوكونو، افتُتِح الحديث بينه...

حينما قابل ريتشارد فاينمان بطلَه بول ديراك عقب مؤتمر بوكونو، افتُتِح الحديث بينهما على ذي الشاكلة: 'أنا فاينمان' [::] "أنا ديراك" (صمت) 'إنه لمن الرائع أن تكونَ مكتشف تلك المعادلة' [::] "هذ...

اقرأ المزيد ←

أذكرُ، في فترة العطلة ما بين المدرسة الثانوية والجامعة، أنني زدت في ترددي -الكثي...

أذكرُ، في فترة العطلة ما بين المدرسة الثانوية والجامعة، أنني زدت في ترددي -الكثير أصلا- على مكتبة دنديس، أكبر مكتبة في فلسطين، وقد كنت وقتها أستخدم هاتفا من الهواتف البدائية التي لا تدعم الانترنت، ولم...

اقرأ المزيد ←
ما أعرفه أن للفلسفة مدارسَ، كما للعلوم حقولا، وللآداب تياراتٍ، لكن أن تتصرف مع ك...

ما أعرفه أن للفلسفة مدارسَ، كما للعلوم حقولا، وللآداب تياراتٍ، لكن أن تتصرف مع ك...

ما أعرفه أن للفلسفة مدارسَ، كما للعلوم حقولا، وللآداب تياراتٍ، لكن أن تتصرف مع كل الدنيا بما فيها من فلسفات وعلوم وآداب على أنها في جعبة قلمك ومداد حبرك فتدحض المدرسة الفلسفية في صفحتين، وتنسف الحقل ا...

اقرأ المزيد ←
هذي الرسالة التي بدأت في توليفها قبل 4 شهور، نفضت عني استكمالَها بعد البدء في تأ...

هذي الرسالة التي بدأت في توليفها قبل 4 شهور، نفضت عني استكمالَها بعد البدء في تأ...

هذي الرسالة التي بدأت في توليفها قبل 4 شهور، نفضت عني استكمالَها بعد البدء في تأليفها بوقت قصير لأنني رأيت فيما رأيت أنني أقوِّض من دعامات نتاج بعض من ألف وكتب وتصدَّر الساحة، مدافعا عن الإسلام، نفسَه...

اقرأ المزيد ←
روى صديقٌ لِشيلي¹، أنه تركه في الساعة العاشرة من صباح أحد الأيام وكان واقفا بجوا...

روى صديقٌ لِشيلي¹، أنه تركه في الساعة العاشرة من صباح أحد الأيام وكان واقفا بجوا...

روى صديقٌ لِشيلي¹، أنه تركه في الساعة العاشرة من صباح أحد الأيام وكان واقفا بجوار مدفأة غرفة مكتبه يقرأ، ثم عاد إليه في الساعة السادسة من مساء اليوم فوجده ما زال واقفا بجوار مدفأة غرفة مكتبه يقرأ وهو ...

اقرأ المزيد ←
قد طال انتظارُنا ترجمةَ المجلد الأخير من كتاب شوبنهاور الرئيس "العالم إرادةً وتم...

قد طال انتظارُنا ترجمةَ المجلد الأخير من كتاب شوبنهاور الرئيس "العالم إرادةً وتم...

قد طال انتظارُنا ترجمةَ المجلد الأخير من كتاب شوبنهاور الرئيس "العالم إرادةً وتمثلا"، والحق أن سعيد توفيق[مترجم الكتاب] عندي واحدٌ من أباطرة النقل عن الألمانية؛ فوالله لتشعرن وأنت تقرأ شوبنهاور كما لو...

اقرأ المزيد ←
أبو العلاء المعري: 
"ودنياك ليست للسرور معدة
فمن ناله من أهلها فهو سارق"

شوبنها...

أبو العلاء المعري: "ودنياك ليست للسرور معدة فمن ناله من أهلها فهو سارق" شوبنها...

أبو العلاء المعري: "ودنياك ليست للسرور معدة فمن ناله من أهلها فهو سارق" شوبنهاور: "الدنيا لا تسر إنسانا، وكل منا ينفق جهده ويمضي حياته في طلب السعادة التي لا ينالها، وإذا ظفر بها وجدها وهما من الأوه...

اقرأ المزيد ←

إلى الشخصية التي تريد من الجميع أن "يتضامن" وينشر المنشورات عبر فيسبوك: كم واحد...

إلى الشخصية التي تريد من الجميع أن "يتضامن" وينشر المنشورات عبر فيسبوك: كم واحدٍ لم تَرَه نشر شيئا ولا علق إلا أنه فاهم لتاريخ القضية، مستوعب لعقيدته الإسلامية، متجهز فكريا ونفسيا، وكم واحدٍ شغله الش...

اقرأ المزيد ←
إن كلود شانون[أبو نظرية المعلومات] واحدٌ مِن أوائل مَن بحثوا فكرةَ برمجة الحاسوب...

إن كلود شانون[أبو نظرية المعلومات] واحدٌ مِن أوائل مَن بحثوا فكرةَ برمجة الحاسوب...

إن كلود شانون[أبو نظرية المعلومات] واحدٌ مِن أوائل مَن بحثوا فكرةَ برمجة الحاسوب ليلعب الشطرنج، حيث نشر أواخر سنة 1949 ورقته البحثية "برمجة الحاسوب للعب الشطرنج"، ذي الورقة معتبرةٌ ضمن واحدة من النصوص...

اقرأ المزيد ←
انتهيت، للمرة الثانية بعد 3 سنوات، من قراءة كتاب الفيلسوف الملحد الضخم بارون دول...

انتهيت، للمرة الثانية بعد 3 سنوات، من قراءة كتاب الفيلسوف الملحد الضخم بارون دول...

انتهيت، للمرة الثانية بعد 3 سنوات، من قراءة كتاب الفيلسوف الملحد الضخم بارون دولباخ: نظام الطبيعة أو القوانين الأخلاقية والمادية - The System of Nature Or, Laws of The Moral and Physical World صاحب م...

اقرأ المزيد ←
أيدسكر دايكسترا، أقرب علماء التحسيب إلى قلبي وواحد من عمالقة التحسيب الكبار عبر...

أيدسكر دايكسترا، أقرب علماء التحسيب إلى قلبي وواحد من عمالقة التحسيب الكبار عبر...

أيدسكر دايكسترا، أقرب علماء التحسيب إلى قلبي وواحد من عمالقة التحسيب الكبار عبر التاريخ، قام بتنفيذ خوارزميته الشهيرة لأقصر طريق ممكن(Shortest Path Algorithm) وهو جالس مع خطيبته في مقهى، في ظرف زماني ...

اقرأ المزيد ←

هل يمكن لفيسبوك أو تيلغرام أو غيرهن أن يتجسسن على محادثات المستخدمين

هل يمكن لفيسبوك أو تيلغرام أو غيرهن أن يتجسسن على محادثات المستخدمين؟ لأبدأَ سريعا وبصورة موجزة، واتسآب يستخدم "التشفير من طرف لطرف"(End-to-end encryption) للمكالمات والرسائل، في حين أن المسنجر يقدم ...

اقرأ المزيد ←

رغم أنني استثمرت أكثر من أسبوع من الوقت في برمجة الموقع، ومبلغا ماليا، إلا أنني...

رغم أنني استثمرت أكثر من أسبوع من الوقت في برمجة الموقع، ومبلغا ماليا، إلا أنني شطبت الفكرة، لأن: 1) الناس لن تلتفت إليه، فلا أحد يحب التعامل مع مادة إحصائية[وإن كانت تفاعلية إبداعية] تحتوي أسماءً وأ...

اقرأ المزيد ←
إنشاء تجمعات من سداسيات الأضلع(Hexagons) متصلة من غير فراغات بينها، هو أمر رهيب...

إنشاء تجمعات من سداسيات الأضلع(Hexagons) متصلة من غير فراغات بينها، هو أمر رهيب...

إنشاء تجمعات من سداسيات الأضلع(Hexagons) متصلة من غير فراغات بينها، هو أمر رهيب بحق، الرياضيات اللازمة لهذا الإنشاء جميلة وماتعة إلى درجة بعيدة برمجيا، إذا ظننت الموضوع بسيطا وحاولت إنشاء ذلك من خلال...

اقرأ المزيد ←
أسوأ خطأ يمكن أن يقع فيه المبرمج -بالأخص حينما يكون مشتغلا على مشروع ضخم لوحده-...

أسوأ خطأ يمكن أن يقع فيه المبرمج -بالأخص حينما يكون مشتغلا على مشروع ضخم لوحده-...

أسوأ خطأ يمكن أن يقع فيه المبرمج -بالأخص حينما يكون مشتغلا على مشروع ضخم لوحده- هو أن يتجاهل ضرورة التخطيط والنمذجة الأوليّة وتحديد الخطوط العريضة لتشكل مشروعه عني شخصيا، فإنني أقع في هذا الخطأ مرار...

اقرأ المزيد ←

لحد اللحظة لا أستطيع فهم طبيعة ونفسية الشخص الذي يشعر بالإهانة حينما تتم إهانة رئيس دولته

لحد اللحظة لا أستطيع فهم طبيعة ونفسية الشخص الذي يشعر بالإهانة حينما تتم إهانة رئيس دولته! يظن أنه ذكي عندما يدافع عن رئيس دولته، يظن أنه من خلال تلميع رئيسه فإنه يدافع عن وطنه وهيبة وطنه أولا: رئيس...

اقرأ المزيد ←

الكتب المدرسية(Textbooks) -الاسم لا يعني أنها للمدرسة- مصمَّمَة للبُلَداء؛ العلو...

الكتب المدرسية(Textbooks) -الاسم لا يعني أنها للمدرسة- مصمَّمَة للبُلَداء؛ العلوم لا يمكن أن تُدرس ويُضمَن فيها الإبداع من خلال اعتماد تينك الكتب مصادرا وأسلوبا للمعرفة، إنك إذ تقرأ كتابا من ذاك النوع...

اقرأ المزيد ←
هذا الكتاب مجهود جبَّار لمؤلفين، واحد باكستانيّ والثاني سنغافوري، والاثنان مسلما...

هذا الكتاب مجهود جبَّار لمؤلفين، واحد باكستانيّ والثاني سنغافوري، والاثنان مسلما...

هذا الكتاب مجهود جبَّار لمؤلفين، واحد باكستانيّ والثاني سنغافوري، والاثنان مسلمان الكتاب عبارة عن محاولة عملاقة لرصد البلوكتشين في ظل الاقتصاد الإسلامي، وللإحاطة بالمتغيرات الاقتصادية الجديدة التي فر...

اقرأ المزيد ←

ما أقوى خورازميات التشفير ما بعد الكمومي

ما أقوى خورازميات التشفير ما بعد الكمومي؟ بدايةً، فإن خوارزميات مقاومة الكمومية(Quantum-resistant algorithms)، أو التي يُشار إليها بالتشفير ما بعد الكمومي، يُعتقد بأنها آمنة ضد التهديدات المحتملة الح...

اقرأ المزيد ←

استكمالا للمشوار العلمي، قمت بإنشاء قناة يوتيوب لتغطي بشكل رئيس: علم التحسيب، وع...

استكمالا للمشوار العلمي، قمت بإنشاء قناة يوتيوب لتغطي بشكل رئيس: علم التحسيب، وعلم التحسيب النظري، والمنطق، على أن التغطية ستمتد حتى الفلسفة والتاريخ والعلوم الإنسانية أظن أن الفيديوهات الافتتاحية ست...

اقرأ المزيد ←
إن الفوهرر وبلا أدنى شك، هو الشخصية الأهم في الثلاثة قرون الأخيرة، وبوسعنا أن نت...

إن الفوهرر وبلا أدنى شك، هو الشخصية الأهم في الثلاثة قرون الأخيرة، وبوسعنا أن نت...

إن الفوهرر وبلا أدنى شك، هو الشخصية الأهم في الثلاثة قرون الأخيرة، وبوسعنا أن نتعلم منه، دروسا لا يعطيها الأمريكي ولا الأوروبي الحالي، إن الفوهرر، شخصيةً وفكرًا وفعلاً، هو الرجل الذي نفتقد في هذي الأي...

اقرأ المزيد ←
((  بالطبع، قد يفكر الناس رقيقو القلب بأن هناك طريقة بارعة لنزع سلاح العدو أو إل...

(( بالطبع، قد يفكر الناس رقيقو القلب بأن هناك طريقة بارعة لنزع سلاح العدو أو إل...

(( بالطبع، قد يفكر الناس رقيقو القلب بأن هناك طريقة بارعة لنزع سلاح العدو أو إلحاق الهزيمة به، دون إراقة الكثير من الدماء، وقد يتصورون أن هذا هو الهدف الحقيقي لفن الحرب. وبقدر ما يبدو ذلك التصور ممتع...

اقرأ المزيد ←

مع أسبقية عامل السرعة، قررنا عمل تشعيب(Forking) لمنصة لامركزية تعمل كبديل لفيسبو...

مع أسبقية عامل السرعة، قررنا عمل تشعيب(Forking) لمنصة لامركزية تعمل كبديل لفيسبوك المركزي المنصة هي Friendica، الآن مبدئيا، فرق التطوير(Tech Stack) المطلوبة هي: Backend Team: PHP and SQL. Frontend T...

اقرأ المزيد ←

☎️ نداء حربي إلى كل المبرمجين الشرفاء من مشارق الأرض ومغاربها في عصر رقمي تُكت...

☎️ نداء حربي إلى كل المبرمجين الشرفاء من مشارق الأرض ومغاربها في عصر رقمي تُكتَم فيه أصواتنا وتُخفى فيه حقائقنا، فإننا على حافة حرب إعلامية تُقاد ضدنا من وسائل التواصل الاجتماعية، قررت أن تكتم صوت ا...

اقرأ المزيد ←

أتى الوقت لإعلان الحرب على منصات التواصل اللعينة، أتى الوقت لوضع حد لمارك زوكربر...

أتى الوقت لإعلان الحرب على منصات التواصل اللعينة، أتى الوقت لوضع حد لمارك زوكربرغ وإيلون ماسك وعصابتهم، قبل 2009 لم يكن هذا ممكنا، لكن الآن، مع وجود البلوكتشين واللامركزية، فسنضرب من حيث لا يدروون ا...

اقرأ المزيد ←
```